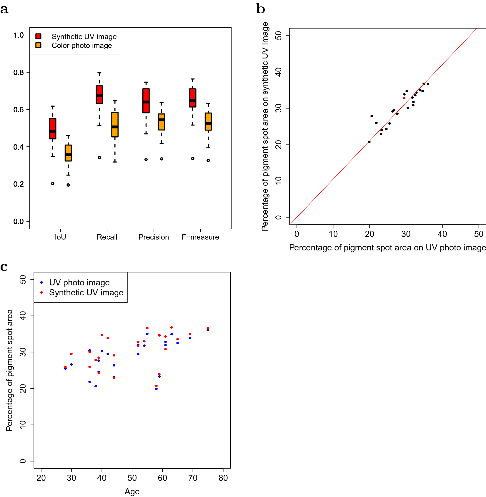
Figure 5

(a) Boxplots of IoU, recall, precision, and F-measure of Spot Net for synthetic UV images and color photo images for 24 test samples. (b) A plot comparing the percentages of pigment spots in cheek regions between UV photo images and synthetic UV images by UV-photo Net for the test samples. Dots indicate pairs of the percentages, and the red line is a linear regression line without intercept for the pairs of the percentages. The regression coefficient is 1.05. The red dot indicates the pair of the percentages for the subject in Fig. 4. (c) A plot showing the relationship between the age and percentage of pigment spot areas for UV photo images and synthetic UV images by UV-photo Net for the test samples. The x-axis indicates the age of the samples, and the y-axis indicates the percentage of pigment spot areas in the cheek regions for the UV photo images and synthetic UV images of the respective samples.