Figure 3
From: Anomalous shape effect of nanosized helium bubble on the elastic field in irradiated tungsten

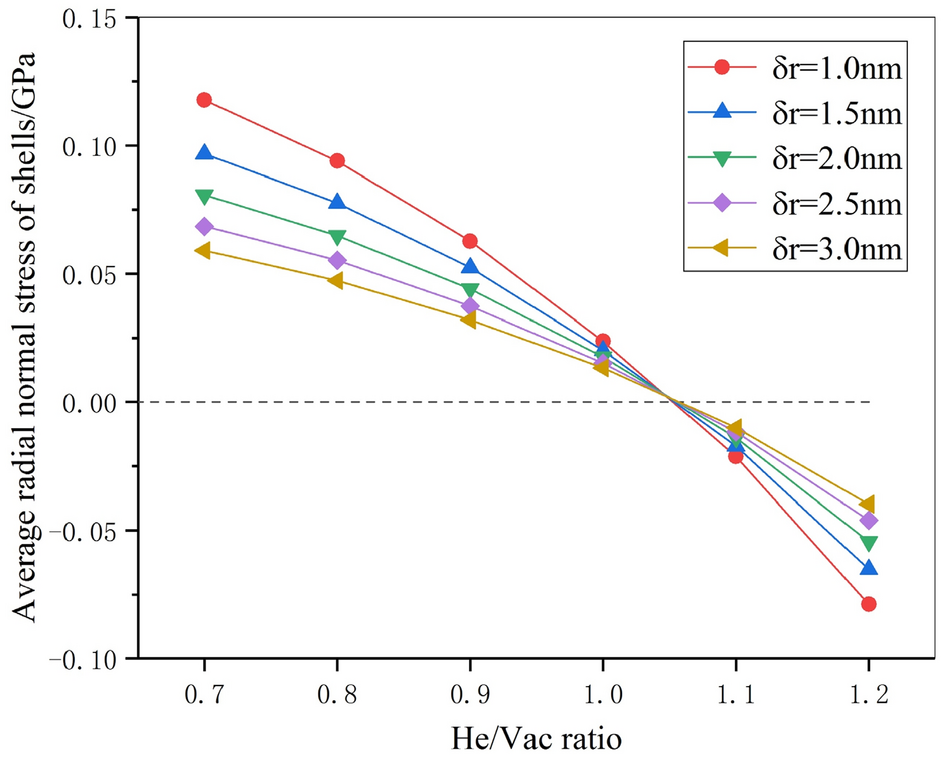
The average radial normal stress of tungsten in monitored shells with respect to He/Vac ratio regarding different shell thickness.
From: Anomalous shape effect of nanosized helium bubble on the elastic field in irradiated tungsten

The average radial normal stress of tungsten in monitored shells with respect to He/Vac ratio regarding different shell thickness.