Figure 1
From: Mild systemic inflammation enhances response to OnabotulinumtoxinA in chronic migraineurs

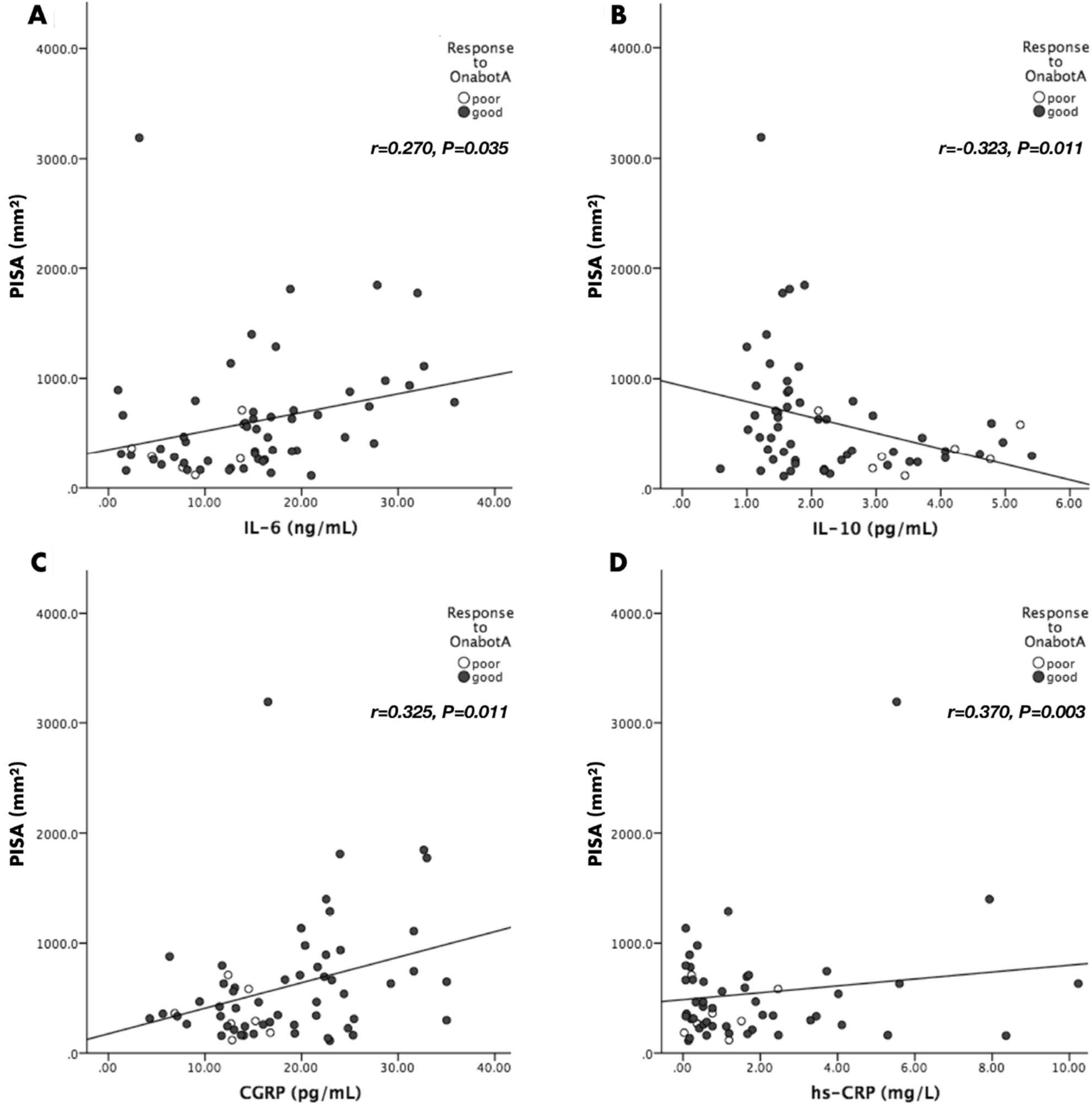
Correlations between PISA (mm2) and: (A) IL-6 (ng/mL); (B) IL-10 (pg/mL); (C) CGRP (pg/mL); (D) hs-CRP (mg/L).
From: Mild systemic inflammation enhances response to OnabotulinumtoxinA in chronic migraineurs

Correlations between PISA (mm2) and: (A) IL-6 (ng/mL); (B) IL-10 (pg/mL); (C) CGRP (pg/mL); (D) hs-CRP (mg/L).