Figure 4
From: A novel simple risk model to predict the prognosis of patients with paraquat poisoning

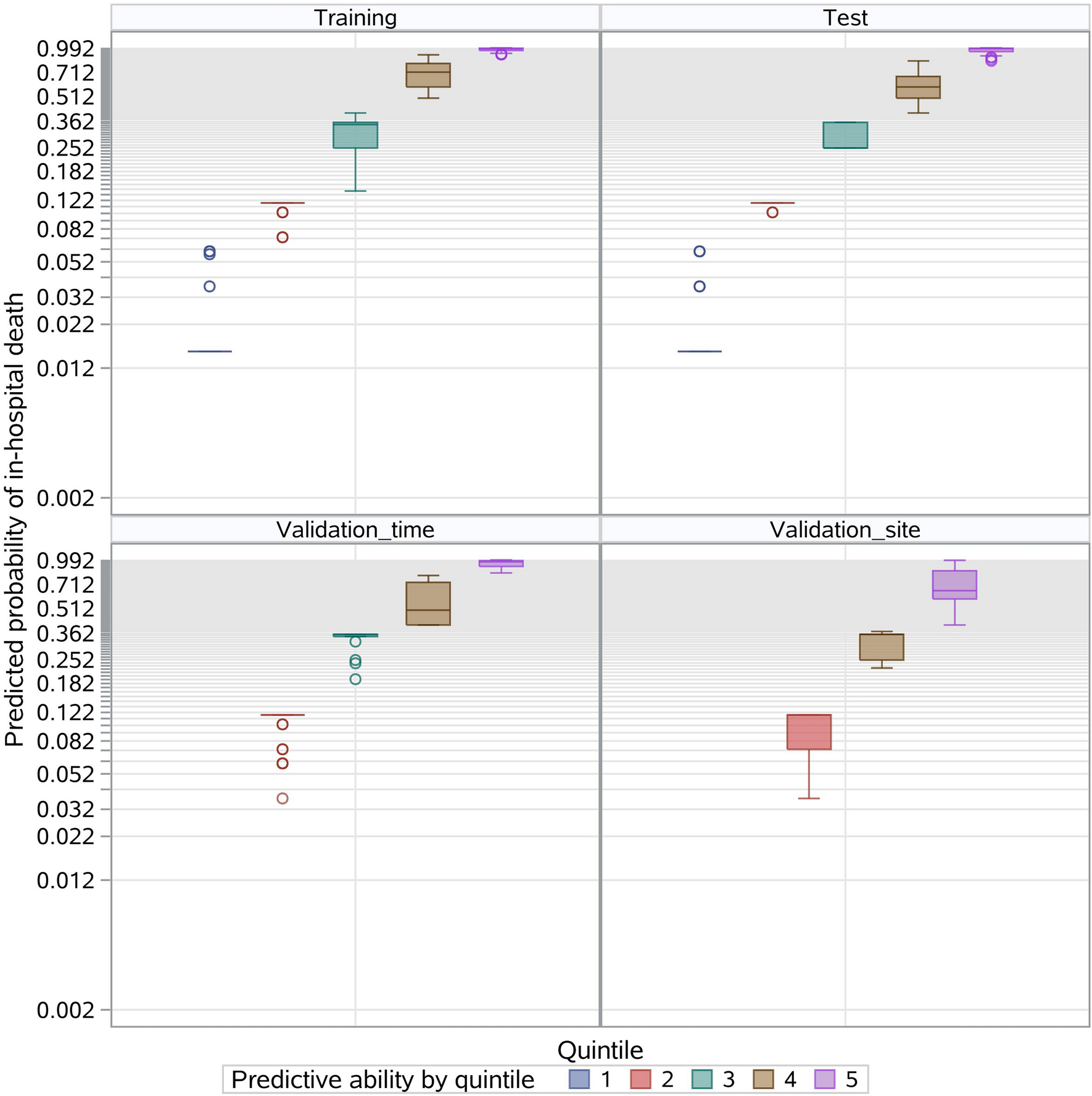
Probability of in-hospital death events by quintiles in the training, test, and validation_time and validation_site samples. Patients in each sample were divided into five classes based on the combination of eight risk factors.