Figure 7
From: A novel simple risk model to predict the prognosis of patients with paraquat poisoning

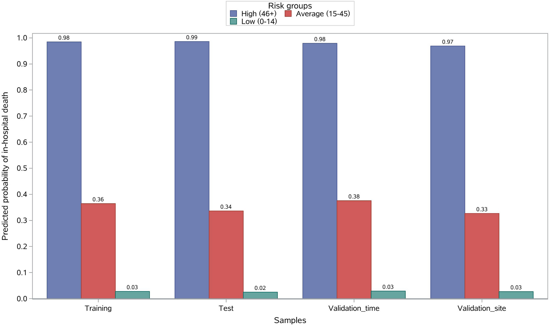
Risk stratification by risk scores. For the training, test, validation_time, and validation_site samples, respectively, the predicted probabilities of in-hospital death for PQ poisoning patients were 98%, 99%, 98%, and 97% in the highest risk group (46+), 59.9%, 62.2%, 59.4%, and 60.8% in the average-risk group (15–45), and 21.7%, 22.4%, 27.1%, and 36.7% in the lowest risk group (0–14).