Figure 4
From: Wastewater COD characterization: RBCOD and SBCOD characterization analysis methods

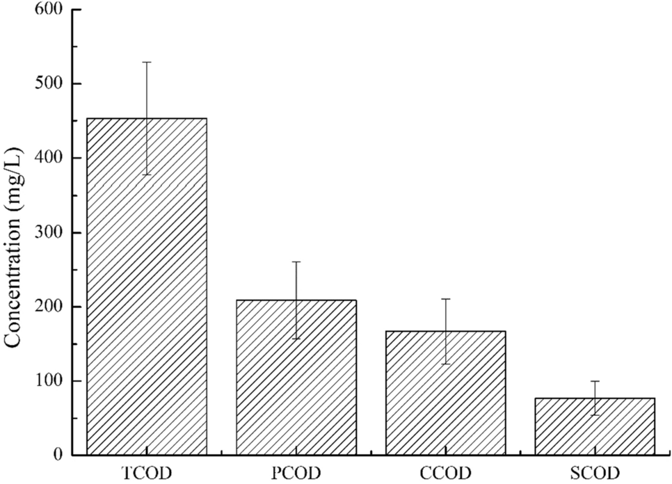
PCOD, CCOD and SCOD components concentration of wastewater samples.
From: Wastewater COD characterization: RBCOD and SBCOD characterization analysis methods

PCOD, CCOD and SCOD components concentration of wastewater samples.