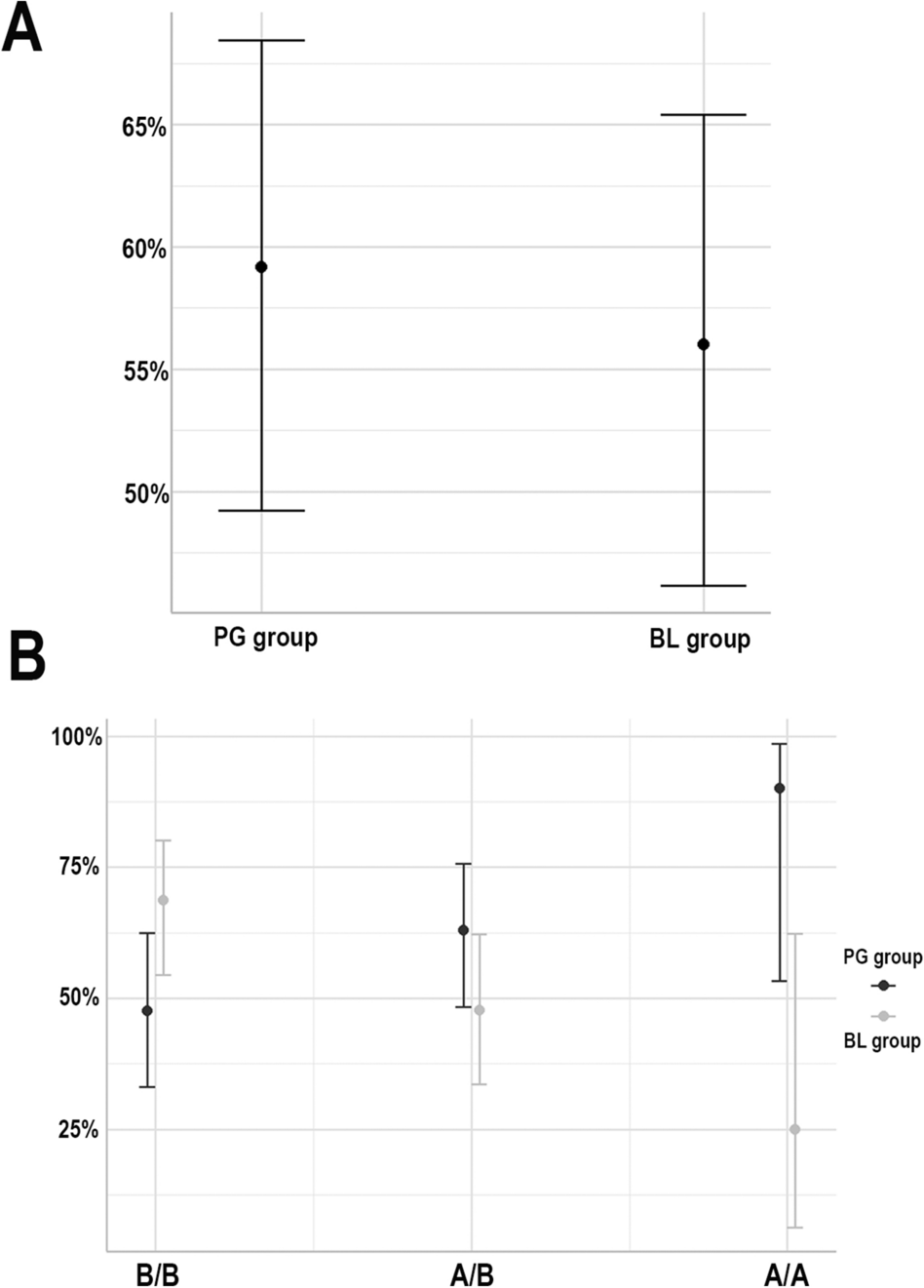
Figure 3

Response probabilities for timolol maleate and latanoprost. (A) Overall response probability for both therapeutic groups. (B) Response probability related to copy number variant (CNV) genotyping BB (no copy), AB (1 allelic copy), and AA (2 allelic copies) for the MLIP locus and the therapeutic groups.