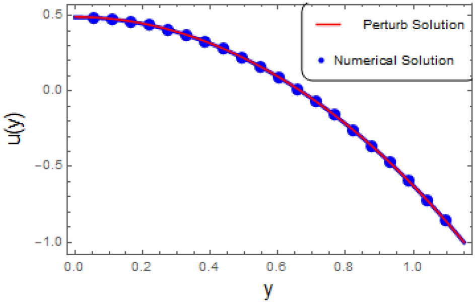
Figure 2

Plot of Perturb with numerical solution with \(\zeta =0.01,\alpha = 0.2\), \(\varepsilon = 0.15\), \(\delta =0.01\), \(F= 0\), \(x= 1\).

Plot of Perturb with numerical solution with \(\zeta =0.01,\alpha = 0.2\), \(\varepsilon = 0.15\), \(\delta =0.01\), \(F= 0\), \(x= 1\).