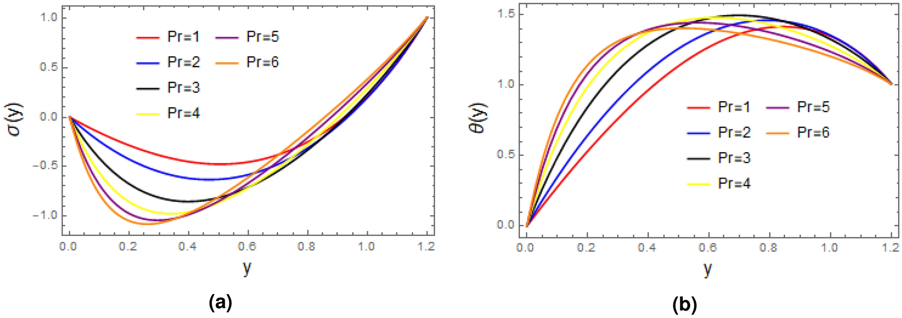
Figure 8

Plots of (a) concentration \(\sigma\) and (b) temperature \(\theta\) for Prandtle number with \(\alpha = 1\), \(\varepsilon = 0.2\), \(\delta =0.1\), \(F= 0.5\), \(x= 1\), \(Ec= 1\), \(N_{t}= 1\), \(\zeta = 0.01\), \(N_{b}= 0.8\).

Plots of (a) concentration \(\sigma\) and (b) temperature \(\theta\) for Prandtle number with \(\alpha = 1\), \(\varepsilon = 0.2\), \(\delta =0.1\), \(F= 0.5\), \(x= 1\), \(Ec= 1\), \(N_{t}= 1\), \(\zeta = 0.01\), \(N_{b}= 0.8\).