Figure 9

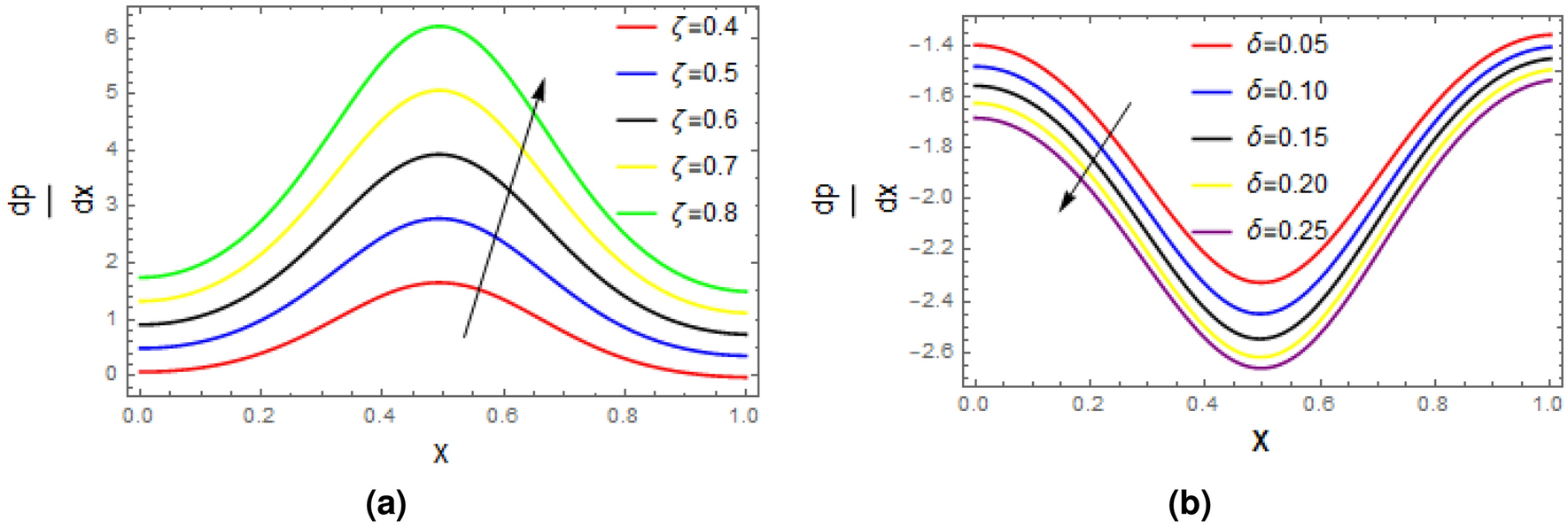
Plots of pressure gradient, impacts of \(\zeta\) and \(\delta\) are studied with \(\alpha = 1,\varepsilon = 0.2, Q= 0.5\) (a) \(\delta =0.05\), (b) \(\zeta =0.05\).

Plots of pressure gradient, impacts of \(\zeta\) and \(\delta\) are studied with \(\alpha = 1,\varepsilon = 0.2, Q= 0.5\) (a) \(\delta =0.05\), (b) \(\zeta =0.05\).