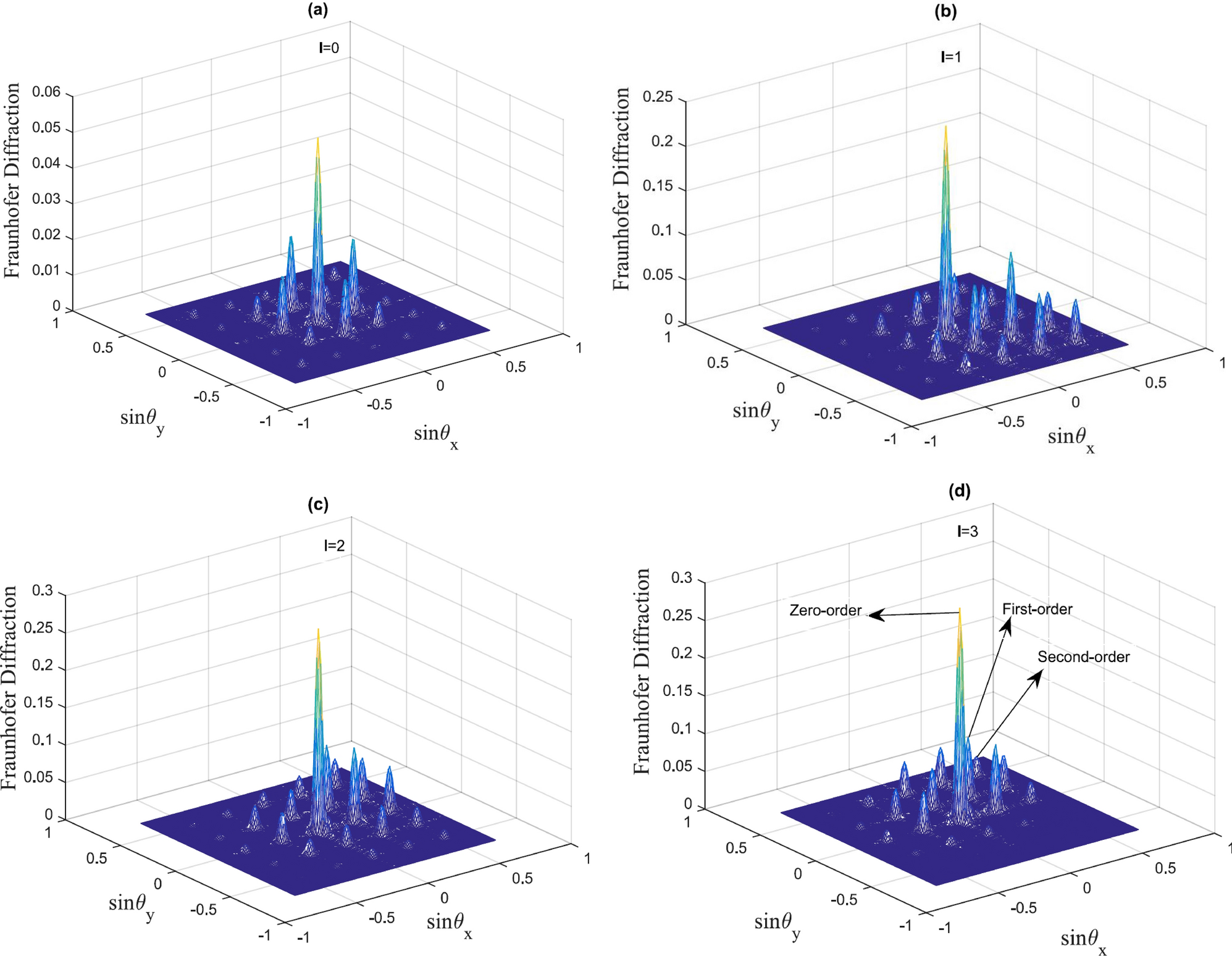
Figure 3
From: Azimuthal modulation of electromagnetically induced grating using structured light

Fraunhofer diffraction pattern in the case of off-resonant probe and resonant SW and LG fields. The selected parameters are \(\gamma _{31}=0.1\gamma \), \(\Delta _{p}=2.2\gamma \), \(\delta =0\), \({\Omega =\Omega _{c0}}=\gamma \), \(\omega =\gamma \), \(M=N=5\), \(L=25\), \(R=4\). (a) \(l=0\); (b) \(l=1\); (c) \(l=2\); (d) \(l=3\).