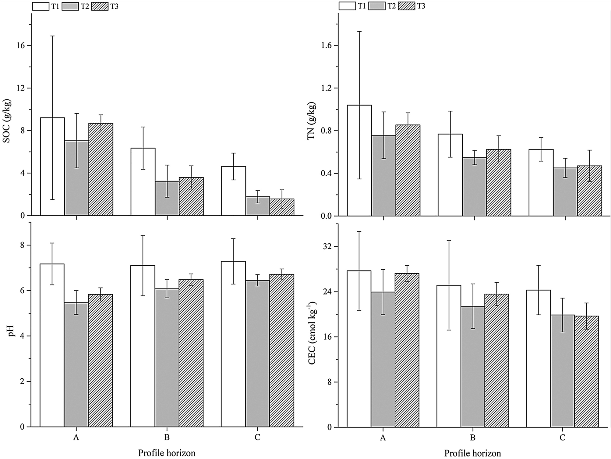
Figure 4

The change in chemical properties for soil horizons in different pedogenic processes. SOC = soil organic carbon; TN = total nitrogen; CEC = cation exchange capacity.

The change in chemical properties for soil horizons in different pedogenic processes. SOC = soil organic carbon; TN = total nitrogen; CEC = cation exchange capacity.