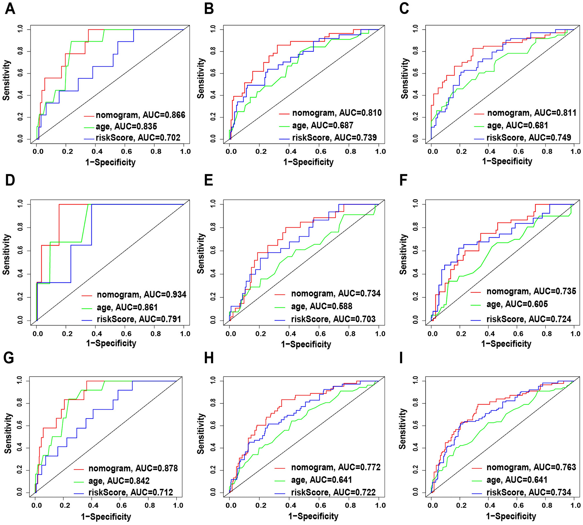
Figure 6

Compare the predictive accuracy and discriminative ability of the nomogram, age and riskScore. (A) The ROC curves at 1, 3, and 5Â years according to the nomogram, age and riskScore in train set. (B) the ROC curves at 1, 3, and 5Â years according to the nomogram, age and riskScore in test set. (C) The ROC curves at 1, 3, and 5Â years according to the nomogram, age and riskScore in all set.