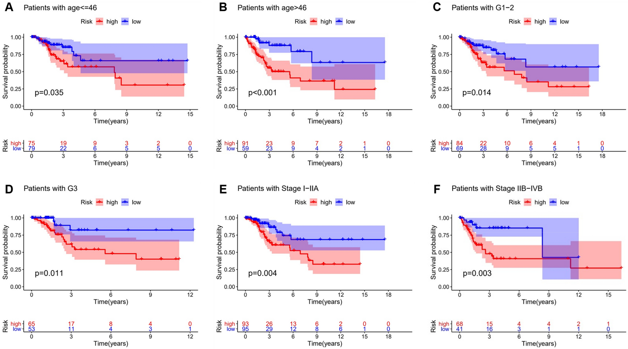
Figure 5

Stratification analyses by age, histological grade and FIGO stage. Kaplan–Meier curve analysis of overall survival in high-risk and low-risk groups for younger patients (age ≤ 46) (A) and older patients (age > 46) (B). For early-grade patients (histological grade 1–2) (C) and late-grade patients (histological grade 3) (D). For early-stage patients (FIGO stage I–IIA) (E) and late-stage patients (FIGO stage IIB–IVB) (F). Statistical analysis was performed using the log-rank test and univariate Cox analysis.