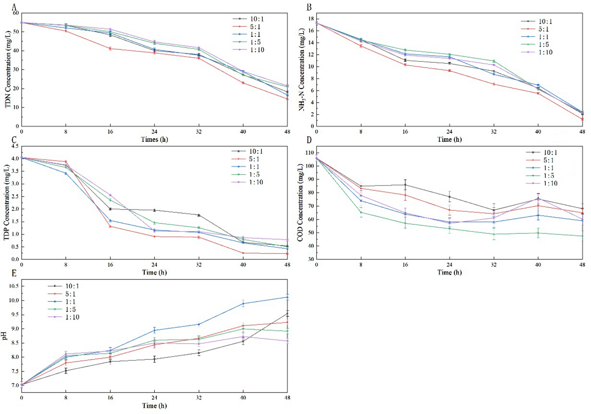
Figure 2

Concentration of water quality compositions in consortia. Consortia with algae/sludge 10:1, 5:1, 1:1, 1:5 and 1:10 (donated as R1 to R5). Nutrient and COD in different ratio of algal–bacterial consortia. And the pH in water. Ammonia nitrogen, total nitrogen, total phosphorus, COD, pH were shown in (A), (B), (C), (E) and (F) respectively.