Figure 6
From: Expression of L-type amino acid transporter 1 is a poor prognostic factor for Non-Hodgkin’s lymphoma

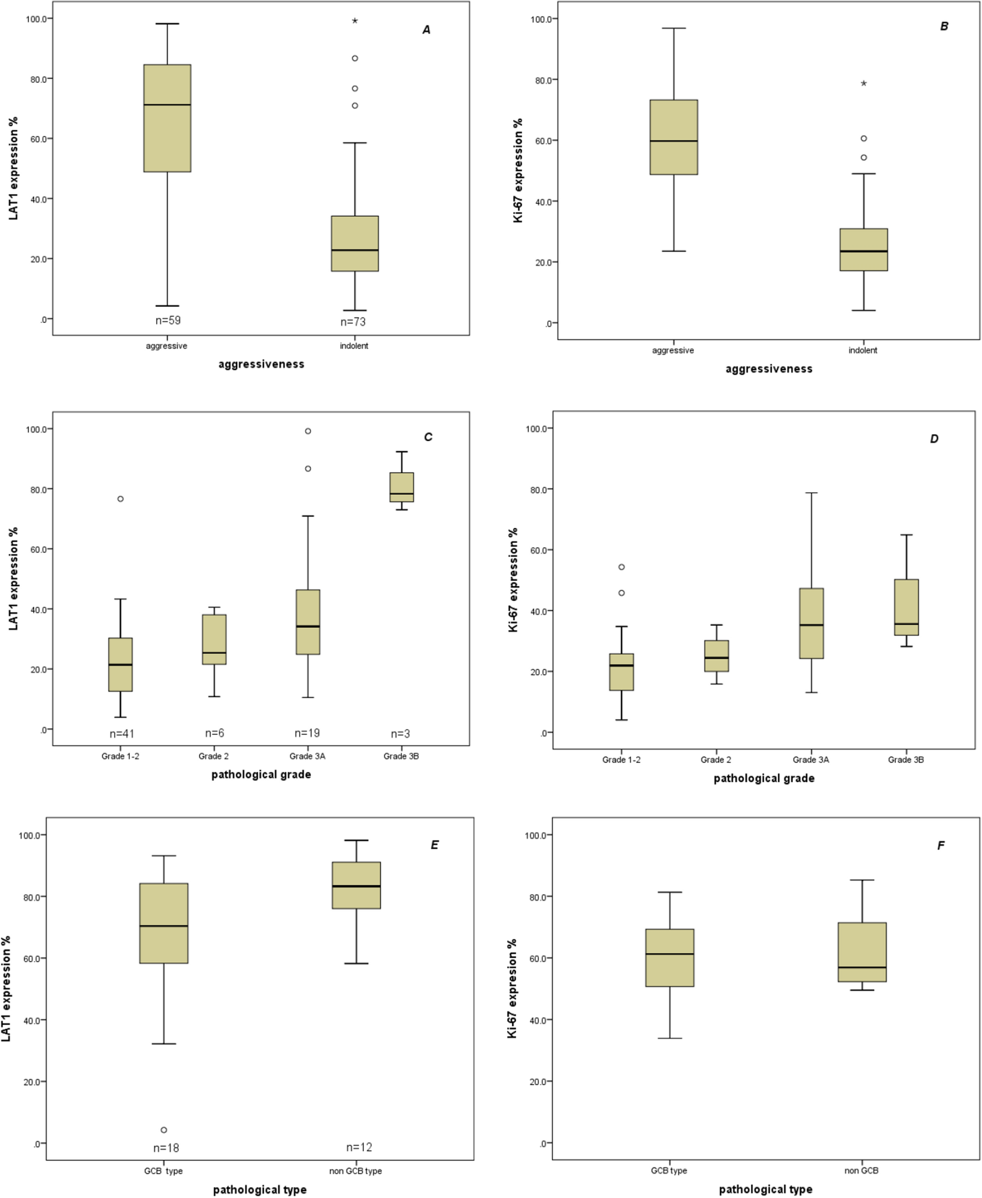
Correlation between expression levels of LAT1 and lymphoma grades. (A,B) LAT1 and Ki-67 expression level was significantly different between aggressive types and indolent types of NHL. (C,D) Pathological grades of FL were differed by an expression of LAT1 and Ki-67 levels between each other. (E,F) LAT1 and Ki-67 expression levels were not significantly different between GCB and non-GCB subtype of DLBCL.