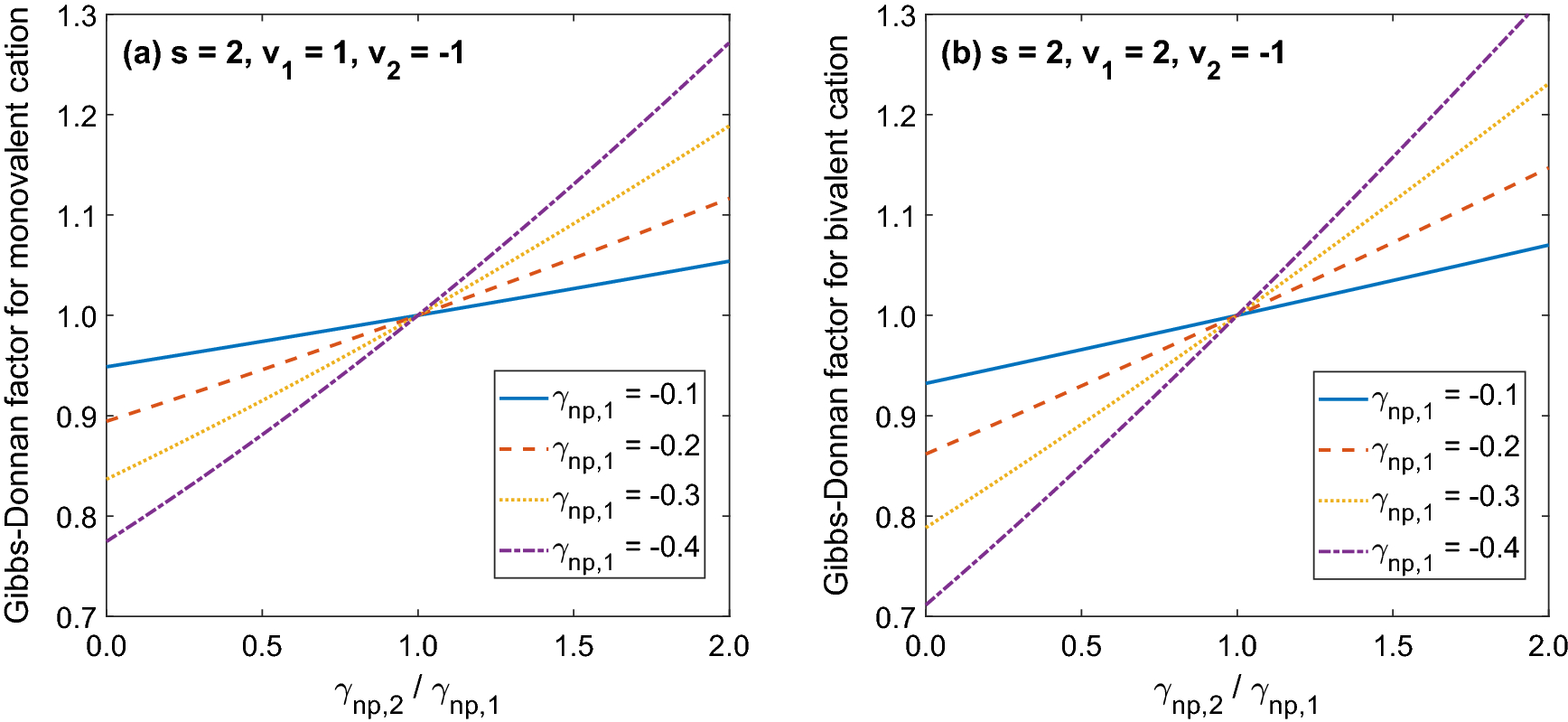
Figure 4

The relationship between the Gibbs–Donnan factor for the reference permeating monovalent (left panel) or bivalent (right panel) cation (for example Na+ or Ca2+ in a solution with Cl−) and the ratio \({\upgamma }_{{\text{np,2}}} / \upgamma _{{\text{np,1}}} = Z_{{\text{np,2}}} {\text{C}}_{{\text{np,2}}}/ {\text{Z}}_{{\text{np,1}}} {\text{C}}_{{\text{np,1}}}\) of equivalents of non-permeating species on the two sides of a permselective membrane, calculated according to Eq. (15) for different values of γnp,1 (the case with known ion concentrations in compartment 1).