Figure 5

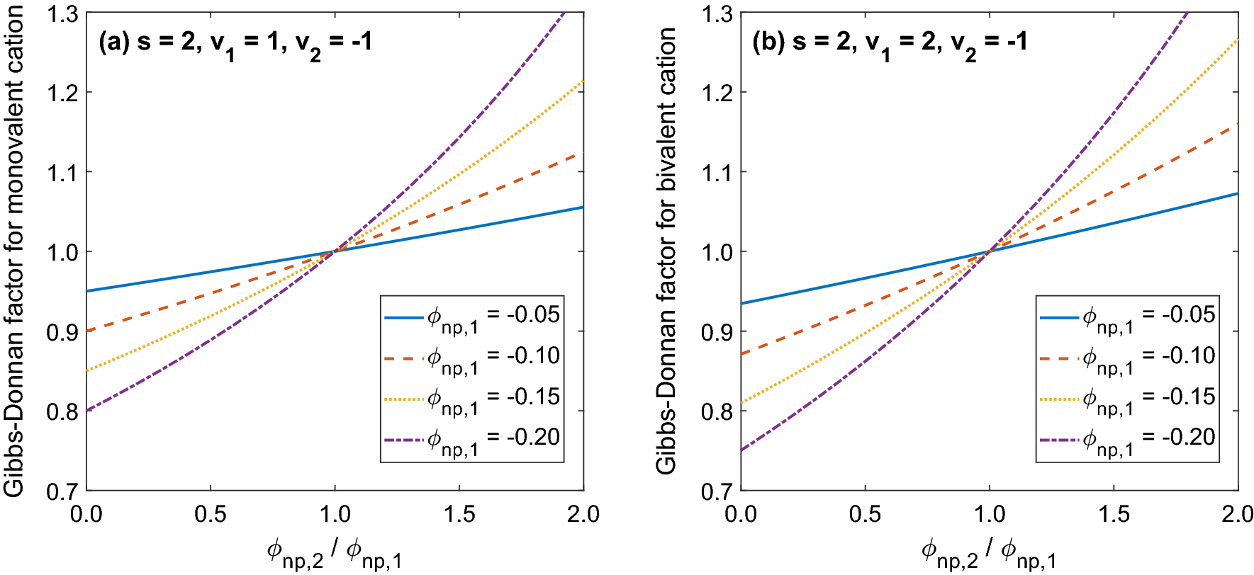
The relationship between the Gibbs–Donnan factor for the reference permeating monovalent (left panel) or bivalent (right panel) cation (for example Na+ or Ca2+ in a solution with Cl −) and the ratio \(\upphi_{{\text{np,2}}} {/}\upphi_{{\text{np,1}}} {\text{ = Z}}_{{\text{np,2}}} {\text{C}}_{{\text{np,2}}} {\text{/Z}}_{{\text{np,1}}} {\text{C}}_{{\text{np,1}}}\) of equivalents of non-permeating species on the two sides of a permselective membrane, calculated according to Eq. (45) for different values of ϕnp,1 (the case with known total amounts of permeating ions distributed among the two compartments of the same volume, i.e. B = 1).