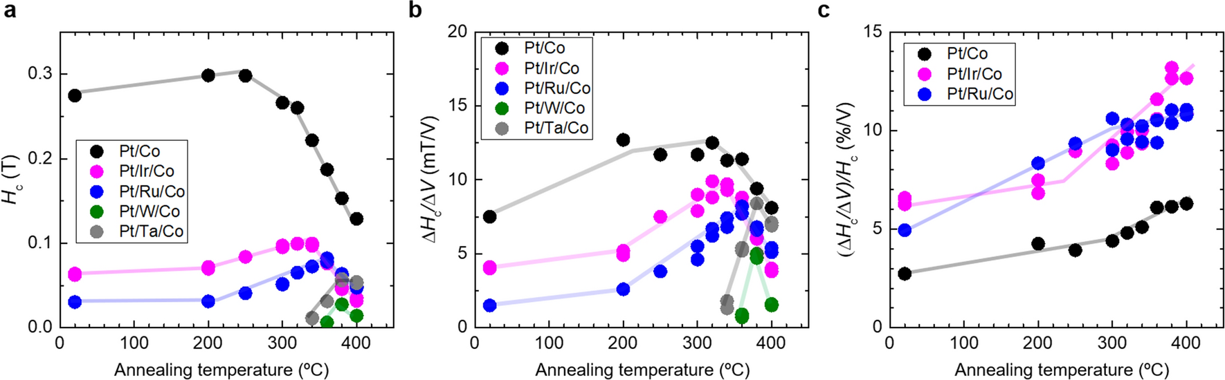
Figure 4

Annealing temperature-dependence of (a) Hc, (b) ΔHc/ΔV, and (c) (ΔHc/ΔV)/Hc of the samples without and with heavy metal insertion.

Annealing temperature-dependence of (a) Hc, (b) ΔHc/ΔV, and (c) (ΔHc/ΔV)/Hc of the samples without and with heavy metal insertion.