Figure 9
From: Gate-tunable charge carrier electrocaloric effect in trilayer graphene

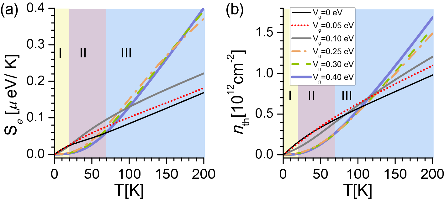
(a) Electronic entropy \(S_e(T)\), (b) density of thermally excited electrons \(n_{th}(T)\) versus temperature calculated at \(E_\text {F}=0\) in ABA-stacked TLG within the NNL-TB model for different gate potentials \(V_g\). In (a), I: \(S_e(V_g=0) \ge S_e(V_g\ne 0)\), II: \(S_e(V_g=0.05,0.1\ \text {eV})\ge S_e(V_g=0)\ge S_e(V_g=0.25,0.3,0.4\ \text {eV})\), III: \(S_e(V_g=0)\le S_e(V_g\ne 0)\). Zone I, II and III in (b) corresponds to the same temperature range as in (a).