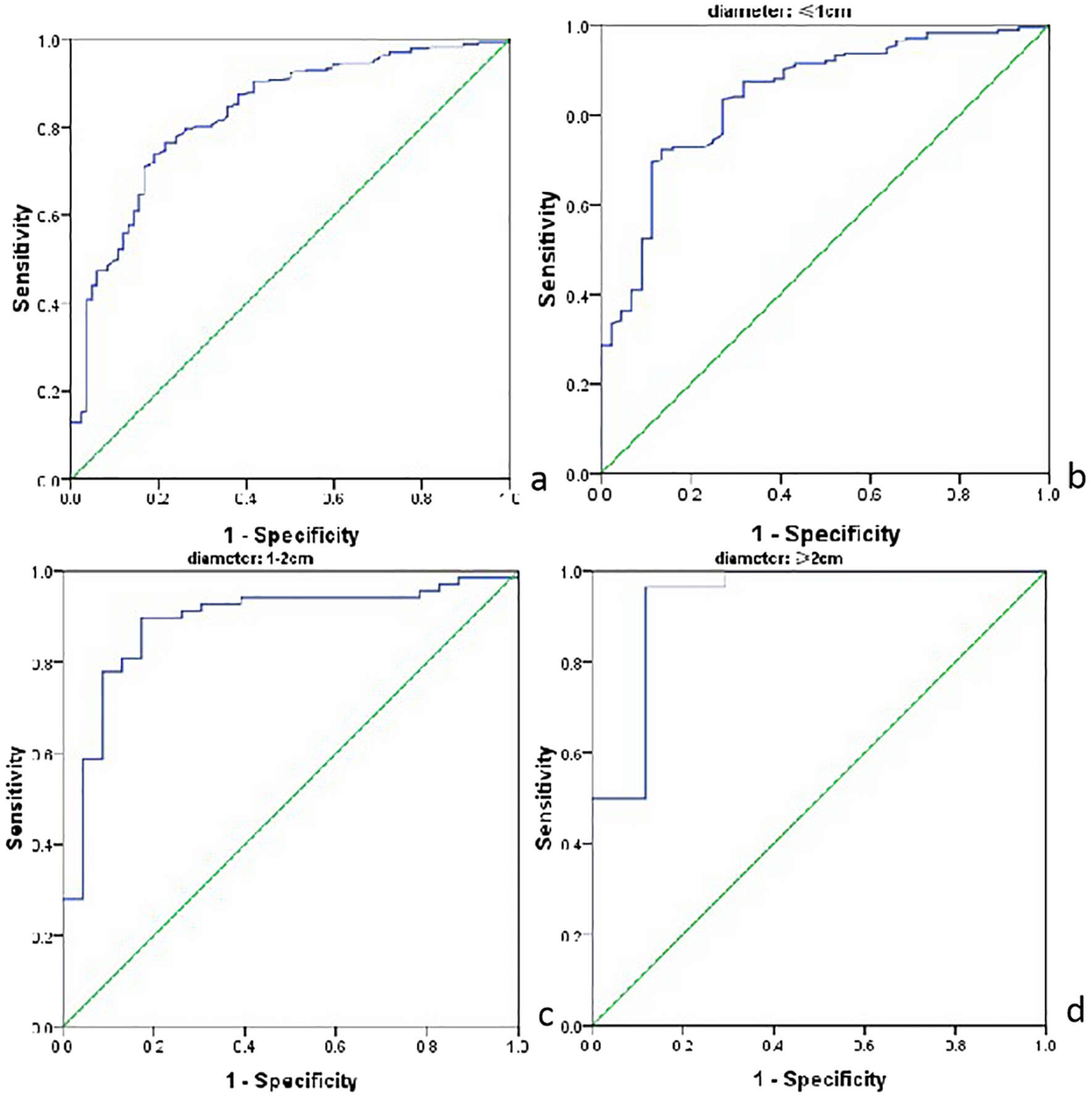
Figure 1

ROC curves to evaluate the efficacy of Emax in the diagnosis of malignant thyroid nodules before and after grouping. (a) ROC curve of entire dataset. (b) ROC curve of Group A. (c) ROC curve of Group B. (d) ROC curve of Group C. The figure was created by R software(version 3.4.4, url: https://www.R-project.org).