Figure 1
From: A laboratory study of hydraulic fracturing at the brittle-ductile transition

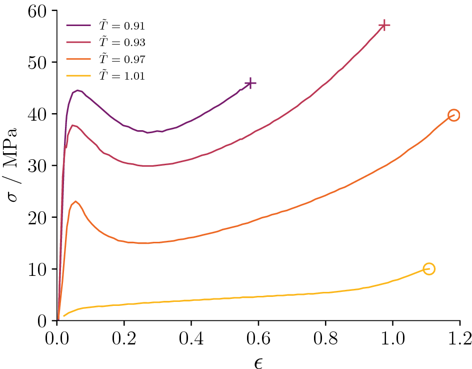
Uniaxial stress \(\sigma\) vs strain \(\varepsilon\) in PMMA under tension loading (digitized from21): ductility increases with temperature while the whole rheology drastically changes across the glass transition regime21. The plus symbol at the of the curves represents final fracture propagation, while the open dots implies that no final fracturing occurred.