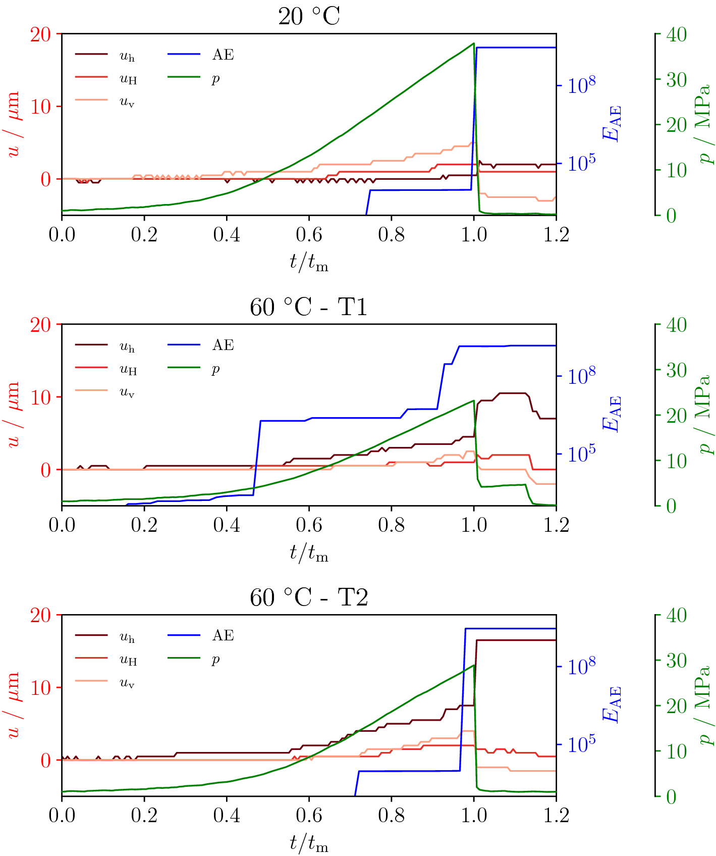
Figure 4
From: A laboratory study of hydraulic fracturing at the brittle-ductile transition

Deformation at the outer faces along the principal directions (\(u_\text{h}\), \(u_\text{H}\) and \(u_\text{v}\)) and acoustic emissions’ cumulative energy (\(E_\text{AE}\)) during fluid injection in test procedure P1 (see “Methods”). Before failure (\(t=t_\text{m}\)), the onset of AE energy and displacement hints at fracturing process, while the displacements observed along different directions suggests mixed-mode fracture propagation and pre-failure plastic processes.