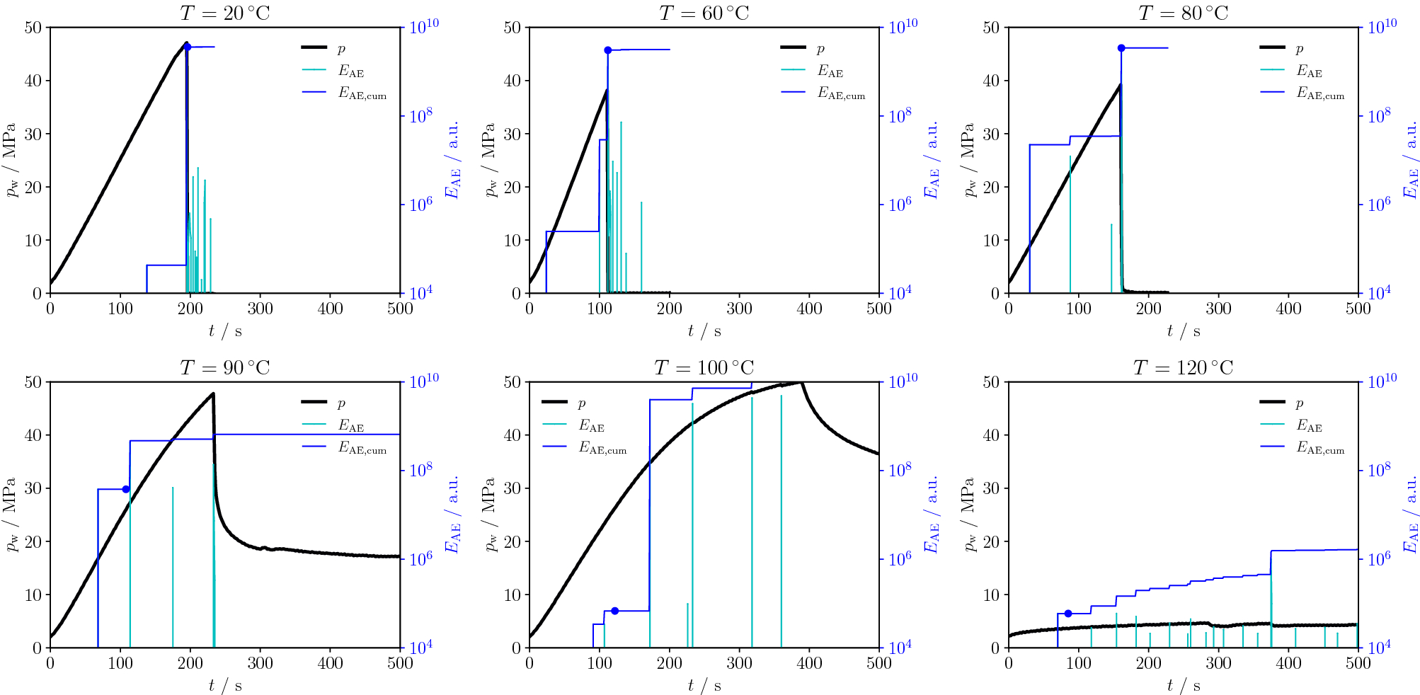
Figure 8
From: A laboratory study of hydraulic fracturing at the brittle-ductile transition

Fluid pressure, acoustic emissions’ energy and cumulative acoustic emissions’ energy recorded during the injection tests at different temperatures and following procedure P2. The pressure response shows a gradual increase in ductility with a slower post-peak drop, while a full transition to practically constant pressure is observed above the glass transition point. Cumulative AE energy at the fracture initiation (blue dot) also gradually decreases with increasing temperature.