Figure 9

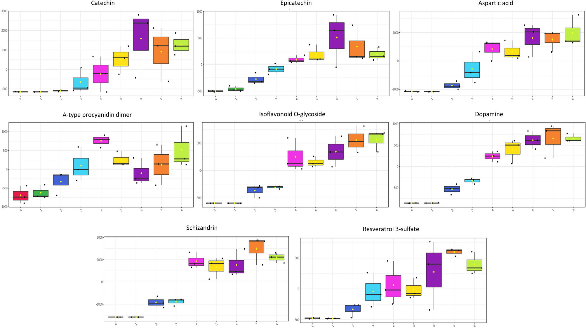
Box plots of bioactive metabolites with significant differences throughout fermentation days (one-way ANOVA correcting for false discovery rate, FDR).

Box plots of bioactive metabolites with significant differences throughout fermentation days (one-way ANOVA correcting for false discovery rate, FDR).