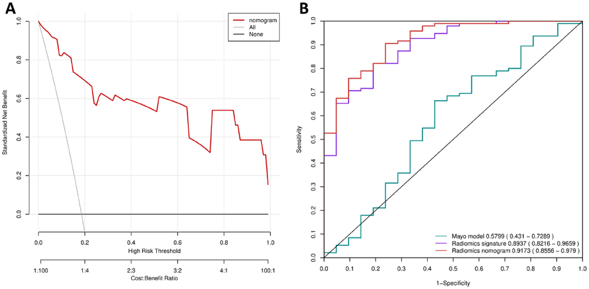
Figure 6

DCA for the radiomics nomogram and the ROC analyses of all 116 patients. (A) The y-axis represents the net benefit. The red line represents the radiomics nomogram. The gray line represents the hypothesis that all patients were malignant. The black line represents the hypothesis that no patients were malignant. The x-axis represents the threshold probability. The threshold probability is where the expected benefit of treatment is equal to the expected benefit of avoiding treatment. For example, if the possibility of malignant in a patient is over the threshold probability, then a treatment strategy for malignant should be adopted. The decision curves in the validation set showed that no matter what the threshold probability is, using the radiomics nomogram to predict malignant obtain more benefit than treating either all or no patients. (B) Performance of nomogram, radiomics signature and mayo model on all 116 patients. Nomogram adopt radiomics signature and age achieves best predict performance.