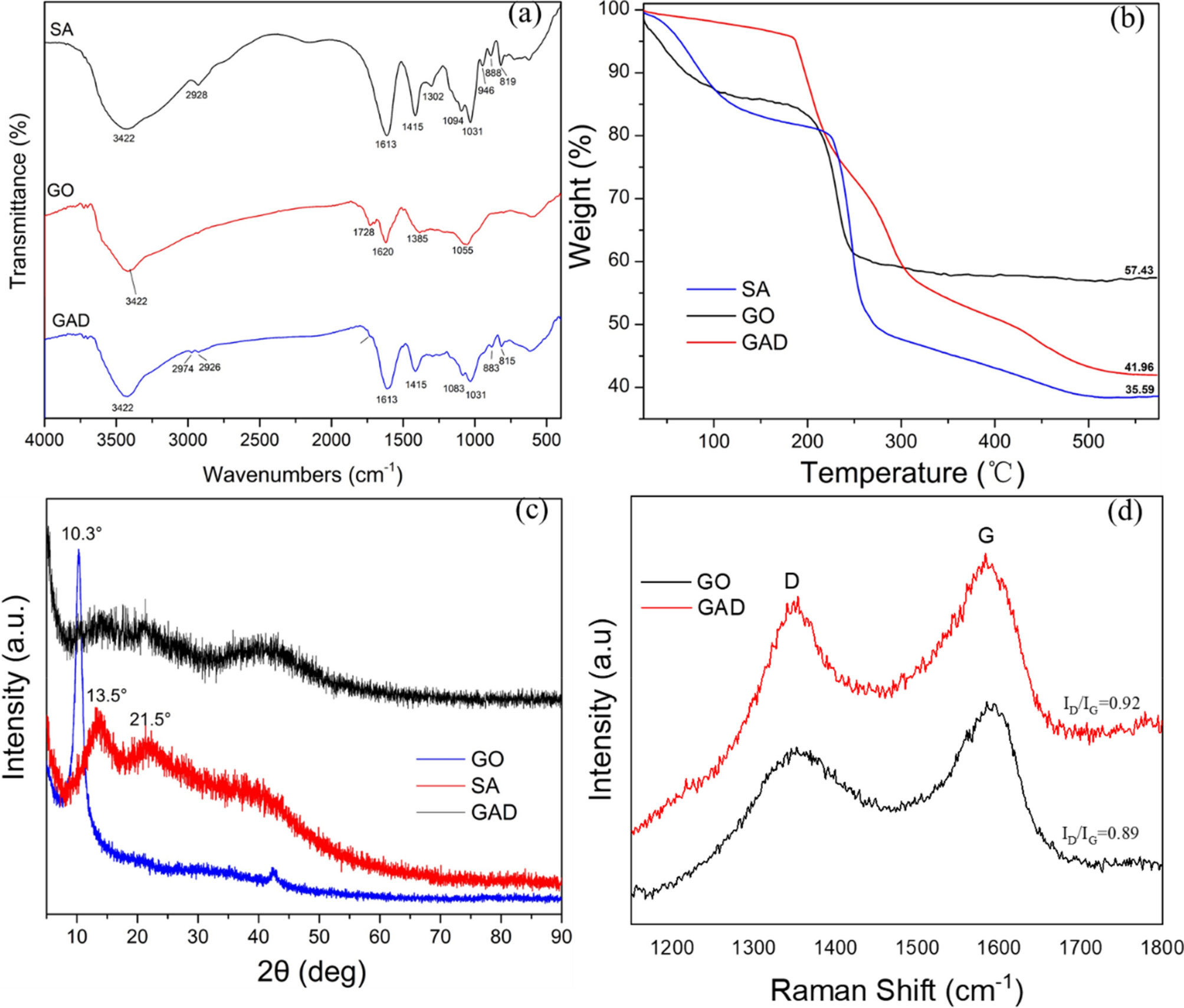
Figure 2

(a) FTIR spectra of SA, GO and GAD, (b) TGA of SA, GO, and GAD, (c) XRD of SA, GO, and GAD, (d) Raman spectra of GAD and GO.

(a) FTIR spectra of SA, GO and GAD, (b) TGA of SA, GO, and GAD, (c) XRD of SA, GO, and GAD, (d) Raman spectra of GAD and GO.