Figure 2
From: Association of cardiac injury with hypertension in hospitalized patients with COVID-19 in China

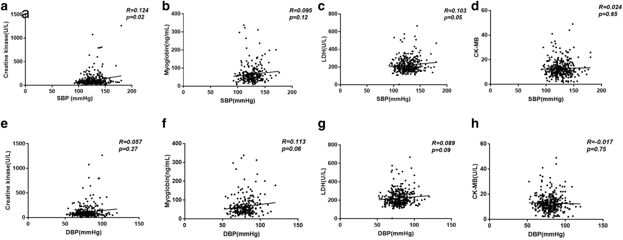
Correlation between blood pressure and cardiac injury markers in COVID-19. Caption: CK creatine kinase; CK-MB creatine kinase isoenzymes; DBP diastolic blood pressure; LDH lactate dehydrogenase; SBP systolic blood pressure; NT-proBNP N-terminal pronatriuretic peptide.