Figure 7
From: A novel AlGaN/GaN heterostructure field-effect transistor based on open-gate technology

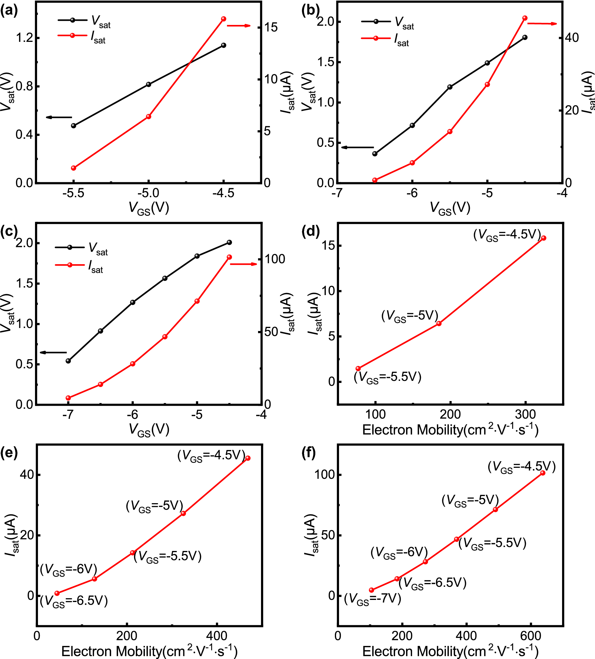
The measured saturation voltage and saturation current as a function of the gate bias for (a) sample 2, (b) sample 3, and (c) sample 4. The measured saturation current as a function of the calculated total electron mobility for (d) sample 2, (e) sample 3, and (f) sample 4. The saturation points are obtained by the method shown in Fig. 2. The electron mobility corresponds to the calculated total electron mobility shown in Fig. 6.