Figure 3

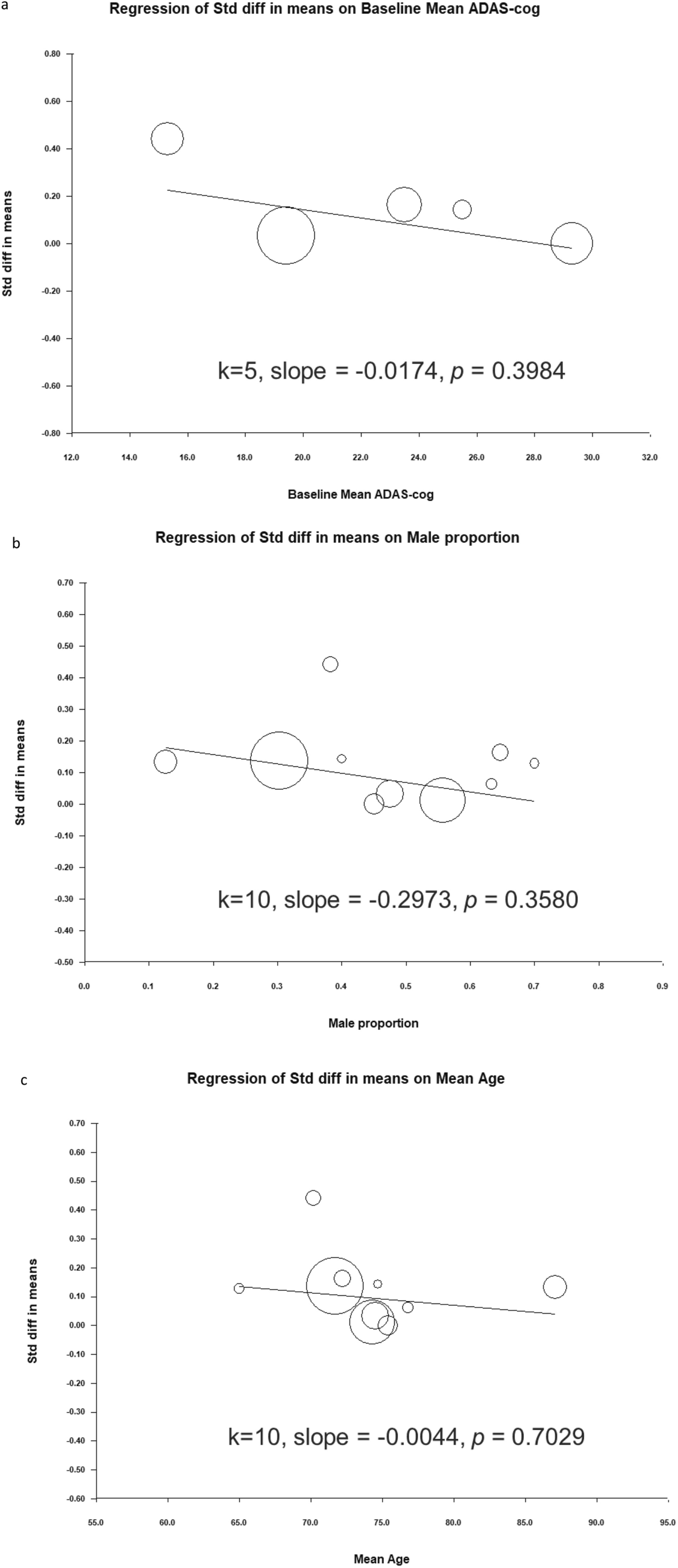
Meta-regression of effects of NMDAR enhancing agents on overall cognitive function in relation to (a) baseline mean ADAS-cog total score, (b) proportion of men, and (c) mean age.

Meta-regression of effects of NMDAR enhancing agents on overall cognitive function in relation to (a) baseline mean ADAS-cog total score, (b) proportion of men, and (c) mean age.