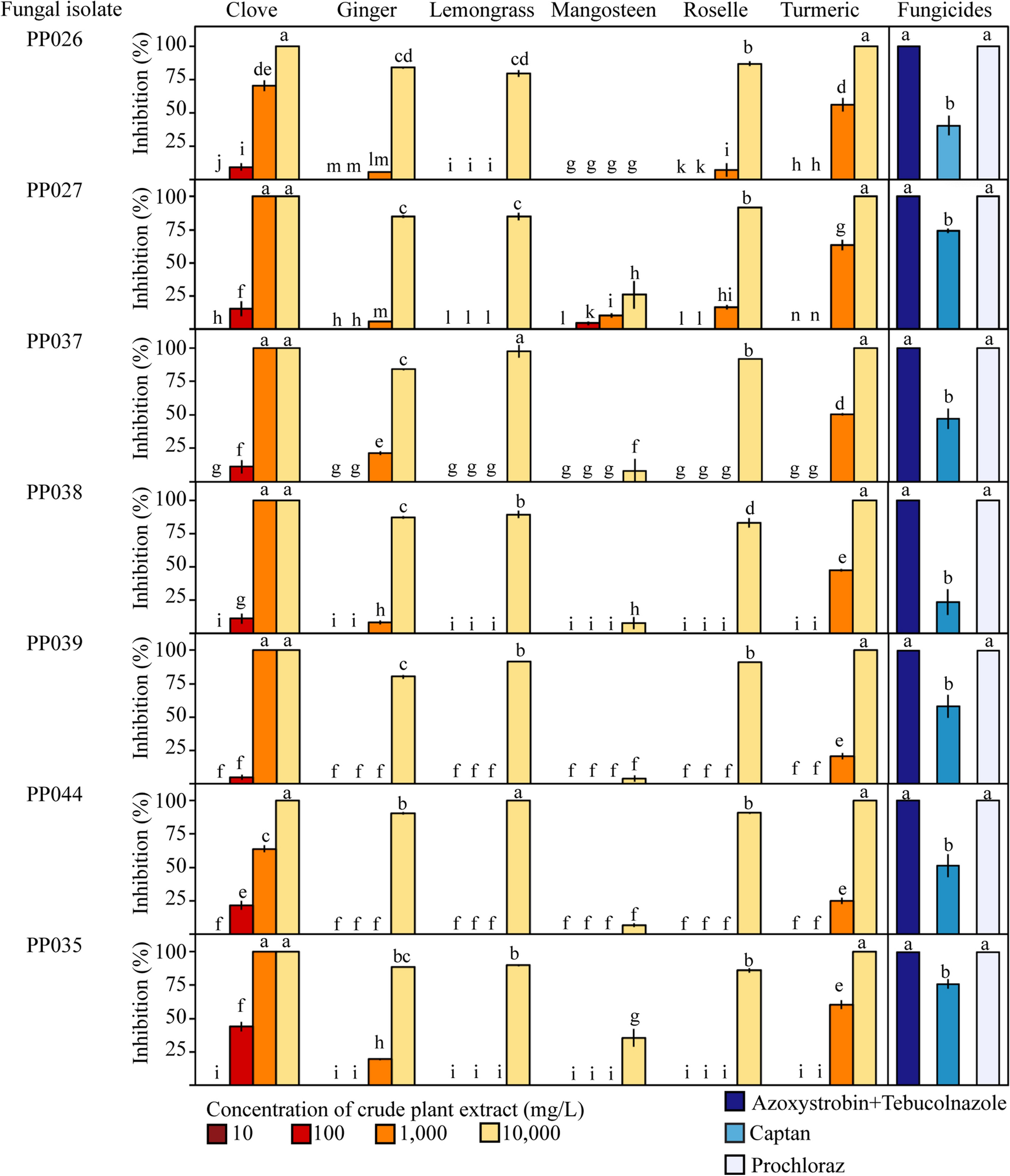
Figure 6

Effect of six crude plant extracts (clove, ginger, lemongrass, mangosteen, roselle, and turmeric) at concentrations of 10, 100, 1,000, and 10,000 mg/L on mycelial growth inhibition of Neopestalotiopsis (PP026, PP027, PP037, PP038, PP039, and PP044) and Pseudopestalotiopsis (PP035) compared to inhibition of azoxystrobin + tebucolnazole, captan, or prochloraz fungicides. Same lowercase letters represent no significant difference (P < 0.05).