Figure 7
From: Developmental features of sleep electrophysiology in family dogs

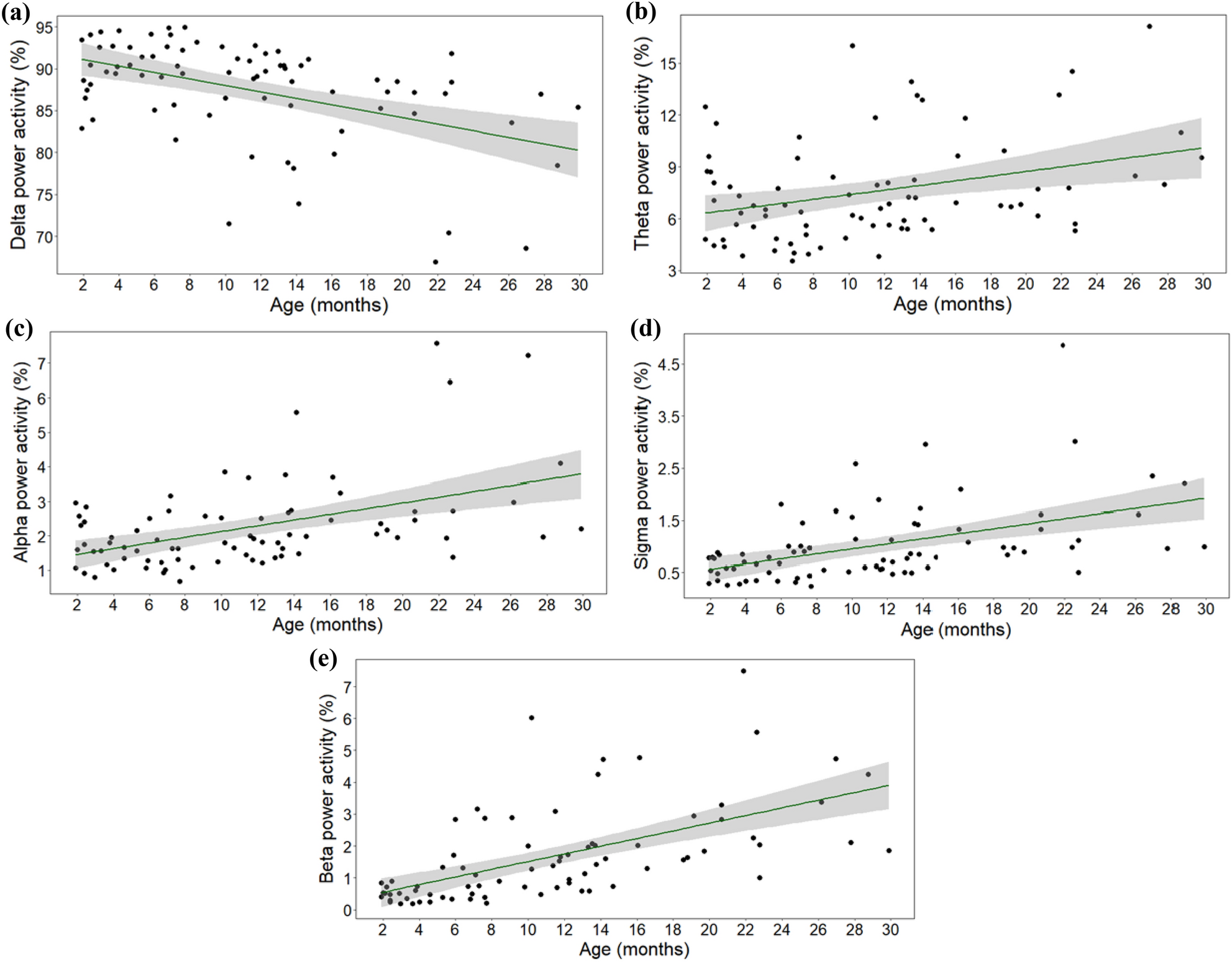
The association between age and (a) delta, (b) theta, (c) alpha, (d) sigma, (e) beta power activity in the Extended sample.
From: Developmental features of sleep electrophysiology in family dogs

The association between age and (a) delta, (b) theta, (c) alpha, (d) sigma, (e) beta power activity in the Extended sample.