Figure 8
From: Superconductivity in In-doped AgSnBiTe3 with possible band inversion

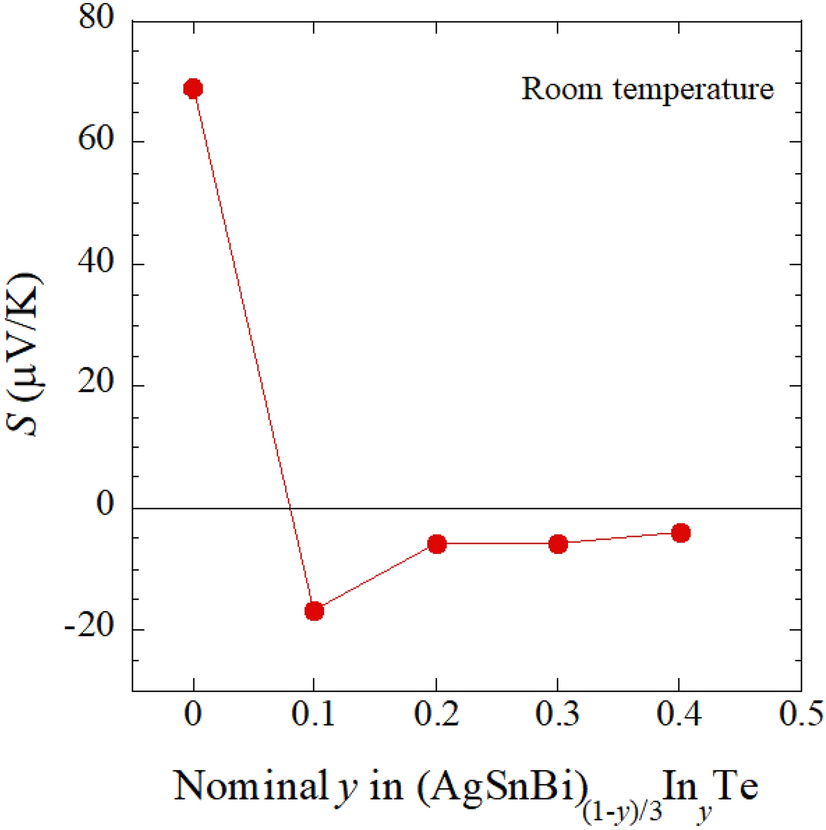
Effect of In doping on Seebeck coefficient (S) for (AgSnBi)(1−y)/3InyTe. In concentration (y) dependence of S at room temperature is shown.
From: Superconductivity in In-doped AgSnBiTe3 with possible band inversion

Effect of In doping on Seebeck coefficient (S) for (AgSnBi)(1−y)/3InyTe. In concentration (y) dependence of S at room temperature is shown.