Figure 9
From: Superconductivity in In-doped AgSnBiTe3 with possible band inversion

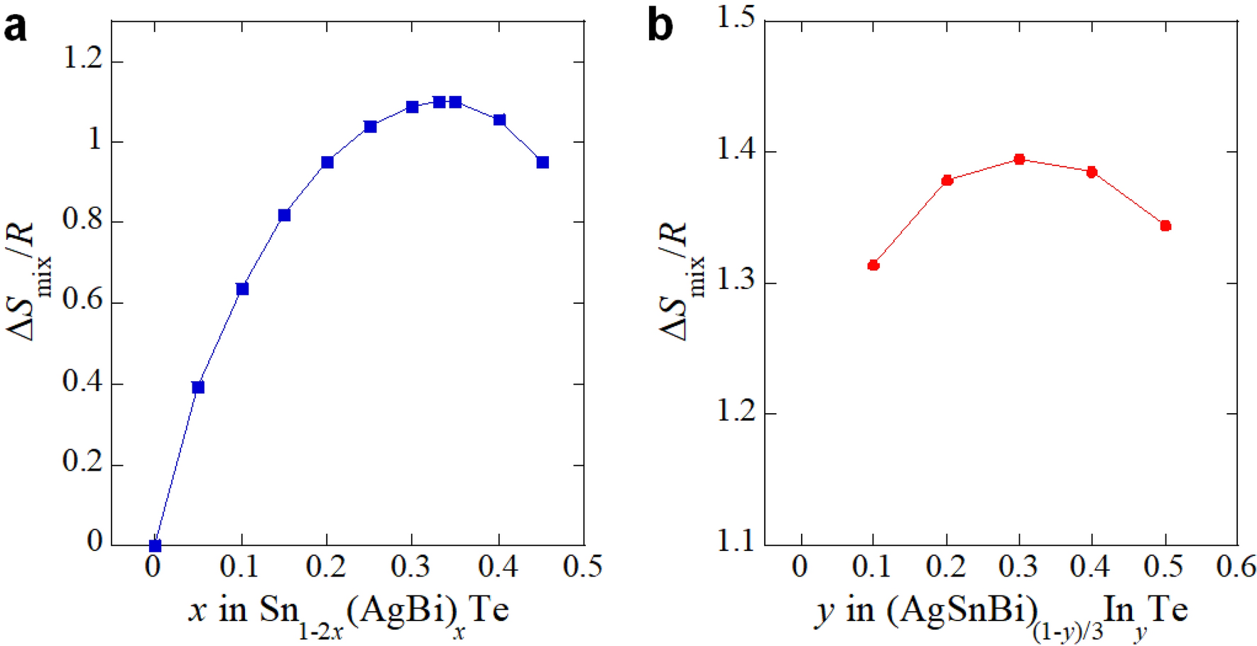
Configurational entropy of mixing (ΔSmix). (a) x dependence of ΔSmix for Sn1−2x(AgBi)xTe. (b) y dependence of ΔSmix for (AgSnBi)(1−y)/3InyTe.
From: Superconductivity in In-doped AgSnBiTe3 with possible band inversion

Configurational entropy of mixing (ΔSmix). (a) x dependence of ΔSmix for Sn1−2x(AgBi)xTe. (b) y dependence of ΔSmix for (AgSnBi)(1−y)/3InyTe.