Figure 2

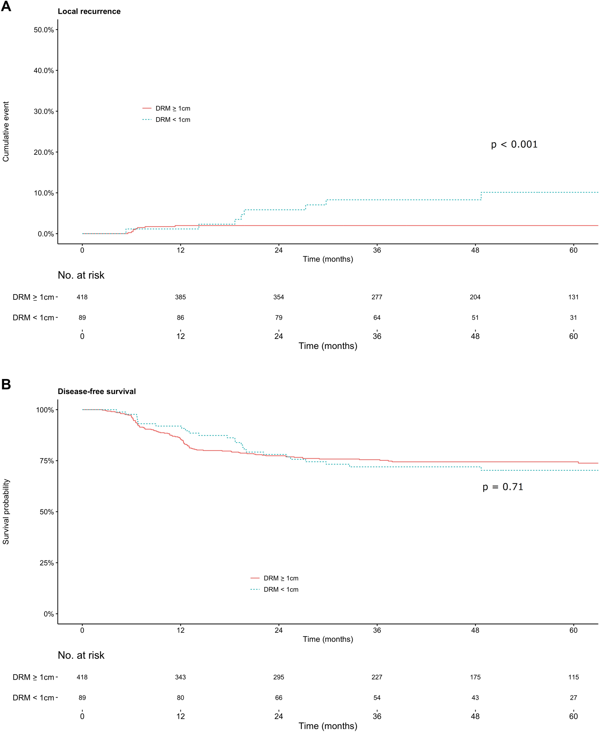
Cumulative incidence of local recurrence (a) and disease-free survival (b) in patients with locally advanced rectal cancer who underwent preoperative chemoradiotherapy followed by rectal excision.

Cumulative incidence of local recurrence (a) and disease-free survival (b) in patients with locally advanced rectal cancer who underwent preoperative chemoradiotherapy followed by rectal excision.