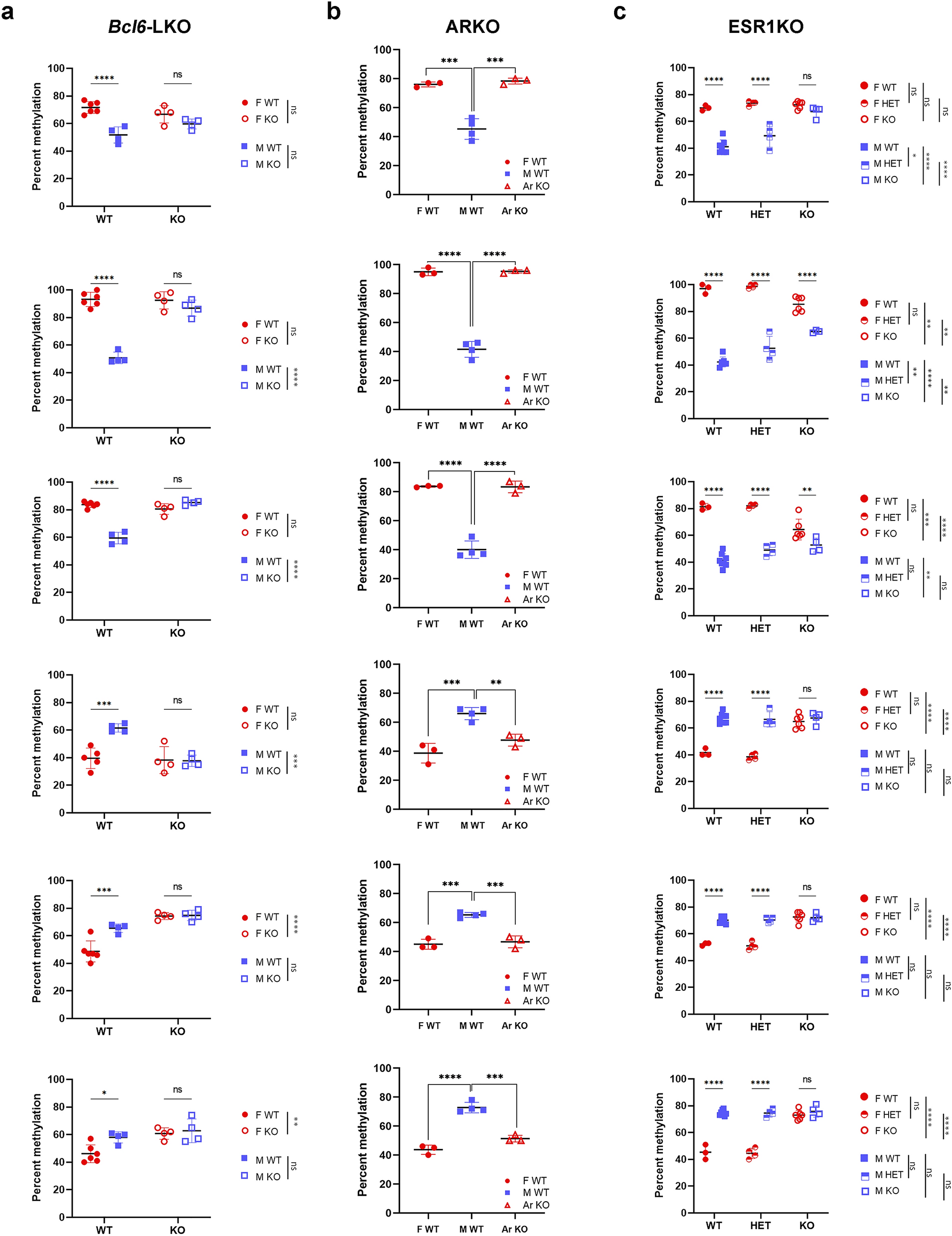
Figure 5

BCL6, AR, and ESR1 influence DNA methylation at sDMRs. (a) Methylation levels in male and female Bcl6-LKO (4 females, 4 males) and controls Bcl6-flox mice (6 females, 4 males); (b) Methylation levels in ARKO mice (with genetic and gonadal male sex and genital female sex) and control male and female littermates (3 females, 4 males, and 3 ARKO mice); (c) Methylation levels in wild type controls, heterozygous and homozygous ESR1KO mice (WT: 3 females, 7 males; HET: 4 females, 4 males, KO: 6 females, 4 males). Error bars show standard deviation. Statistically significant differences are shown with asterisks *P < 0.05, **P < 0.01, ***P < 0.001, ****P < 0.0001, ns: non-significant [two-way ANOVA, followed by multiple testing with Sidak’s correction (a and c); one-way ANOVA, followed by multiple testing with Tuckey’s correction (b)].