Figure 3
From: Differences in PItotal of Quercus liaotungensis seedlings between provenance

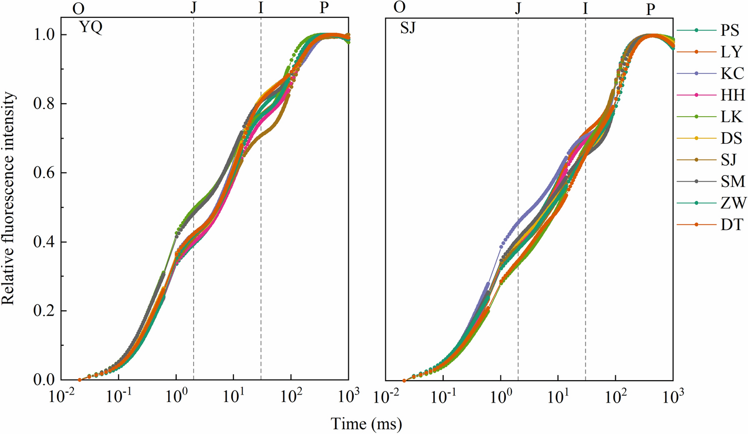
Normalized chlorophyll a fluorescence transient of Q. liaotungensis provenances. The O, J, I, and P steps are marked in the figure, where: O is for origin, J and I are for the intermediary fluorescence levels at 2Â ms and 30Â ms, and P is for the peak20. YQ represents the Yangqu test site, and SJ represents the Sanjiao test site.