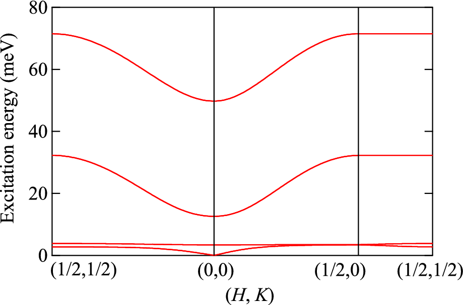
Figure 8

Dispersion relation derived from the collinear antiferromagnetic structure and the exchange parameters of \(J_\mathrm {vb1}\) = 42.2 K (Fe(1)–Fe(3)), \(J_\mathrm {vv}\) = 14.0 K (Fe(3)–Fe(3)), \(J_\mathrm {vb2}\) = 88.3 K (Fe(2)–Fe(3)), and \(J_\mathrm {bb} =~97.4\) K (Fe(1)–Fe(2)).