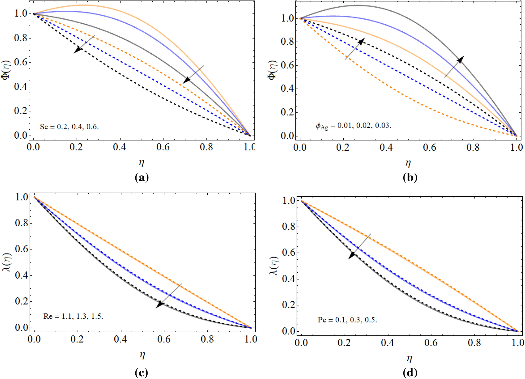
Figure 7

The behavior of mass transfer profile \(\Phi \left( \eta \right)\) and motile microorganism \(\mathchar'26\mkern-10mu\lambda \left( \eta \right)\) versus (a) Schmidt number Sc (b) volume friction of silver \(\phi_{Ag}\) (c) Reynold number Re (d) Peclet number Pe.