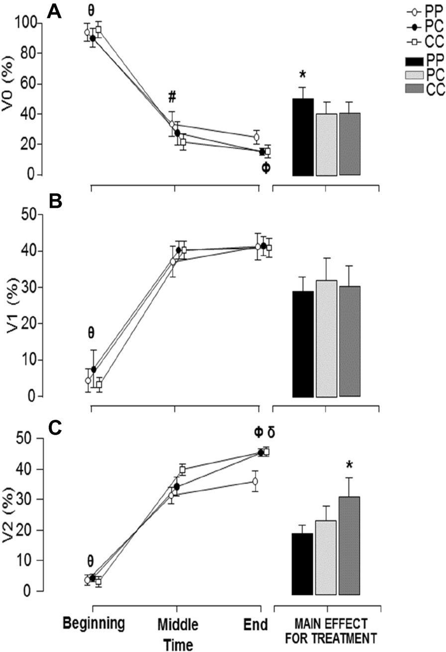
Figure 3

(A) Mean ± SE of V0 (%) at the beginning, midway and final of exercise protocol with 3 experimental conditions: Placebo-Placebo (PP), Placebo-Caffeine (PC) and Caffeine-Caffeine (CC). (θ) Beggining was significantly different from midway and final of the exercise protocol in all experimental conditions; (Φ) Midway was significantly different from final of the exercise protocol in PC experimental conditions (P < 0.05); (#) Significantly difference between CC and PP experimental conditions at the midway of the exercise protocol (P < 0.05); (*) Significantly different from other experimental conditions (P < 0.05). (B) Mean ± SE of V1 (%) at the beginning, midway and final of exercise protocol with 3 experimental conditions: Placebo–Placebo (PP), Placebo–Caffeine (PC) and Caffeine–Caffeine (CC). (θ) Beggining was significantly different from midway and final of the exercise protocol in all experimental conditions (P < 0.05). (C) Mean ± SE of V2 (%) at the beginning, midway and final of exercise protocol with 3 experimental conditions: Placebo–Placebo (PP), Placebo–Caffeine (PC) and Caffeine–Caffeine (CC). (θ) Beggining was significantly different from midway and final of the exercise protocol in all experimental conditions (P < 0.05); (Φ) Midway was significantly different from final of the exercise protocol in PC experimental conditions (P < 0.05); (δ) Significantly difference among PP and both CC and PC experimental conditions at the final of the exercise protocol (P < 0.05); (*) Significantly different from other experimental conditions (P < 0.05).