Figure 2
From: Diagnostic value of PPARδ and miRNA-17 expression levels in patients with non-small cell lung cancer

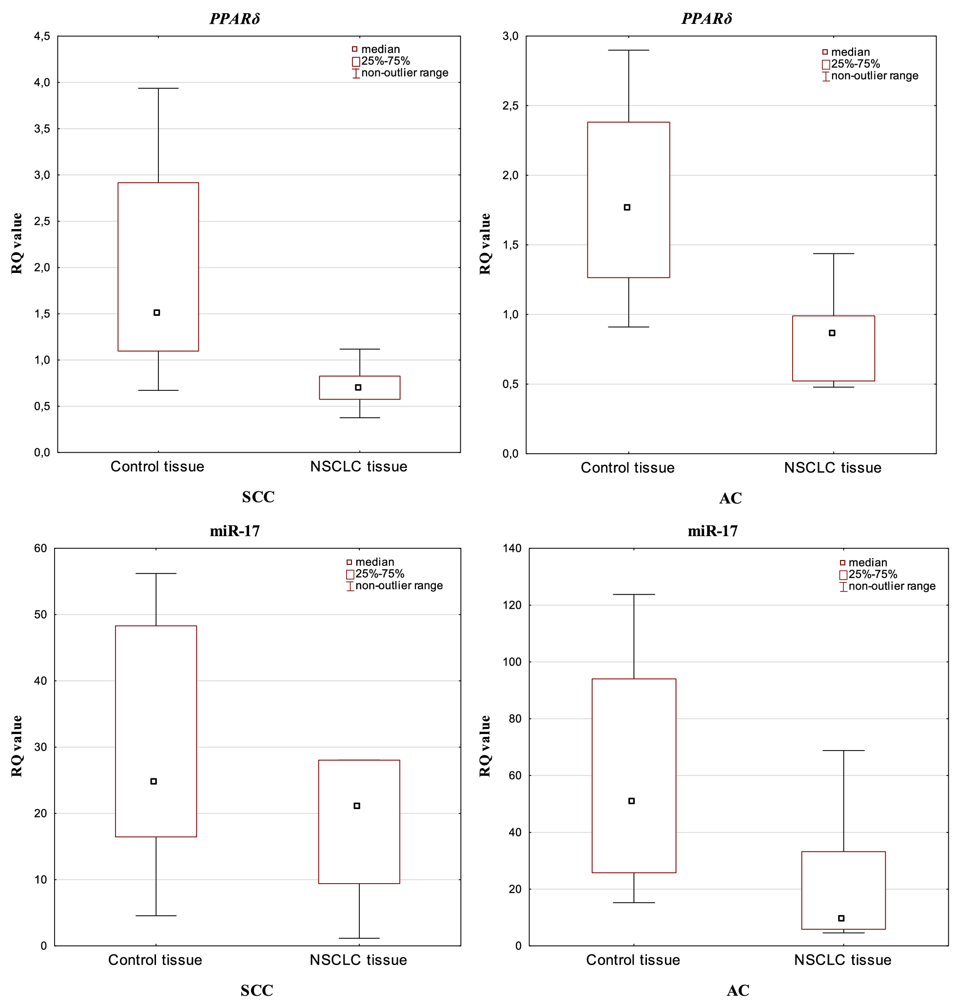
Box-and-whisker plots representing PPARδ and miRNA-17 expression levels (median RQ values) in NSCLC and control tissue depending on the histopathological subtypes (SCC and AC).