Scheme 1

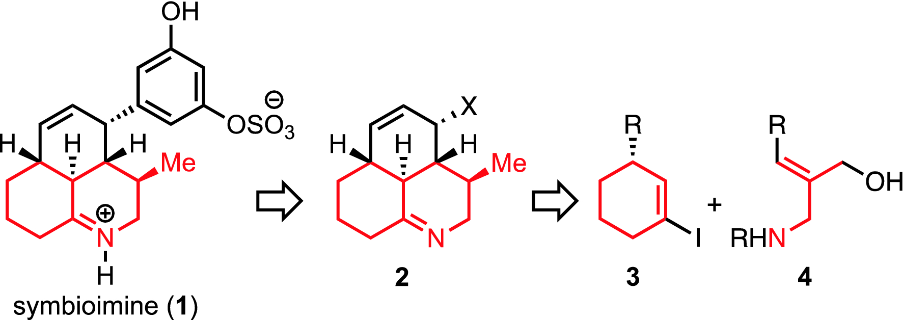
Symbiomine (1) and its synthetic plan through a tricyclic core 2 from two components 3 and 4. The hydroquinoline skeleton is highlighted in red.

Symbiomine (1) and its synthetic plan through a tricyclic core 2 from two components 3 and 4. The hydroquinoline skeleton is highlighted in red.