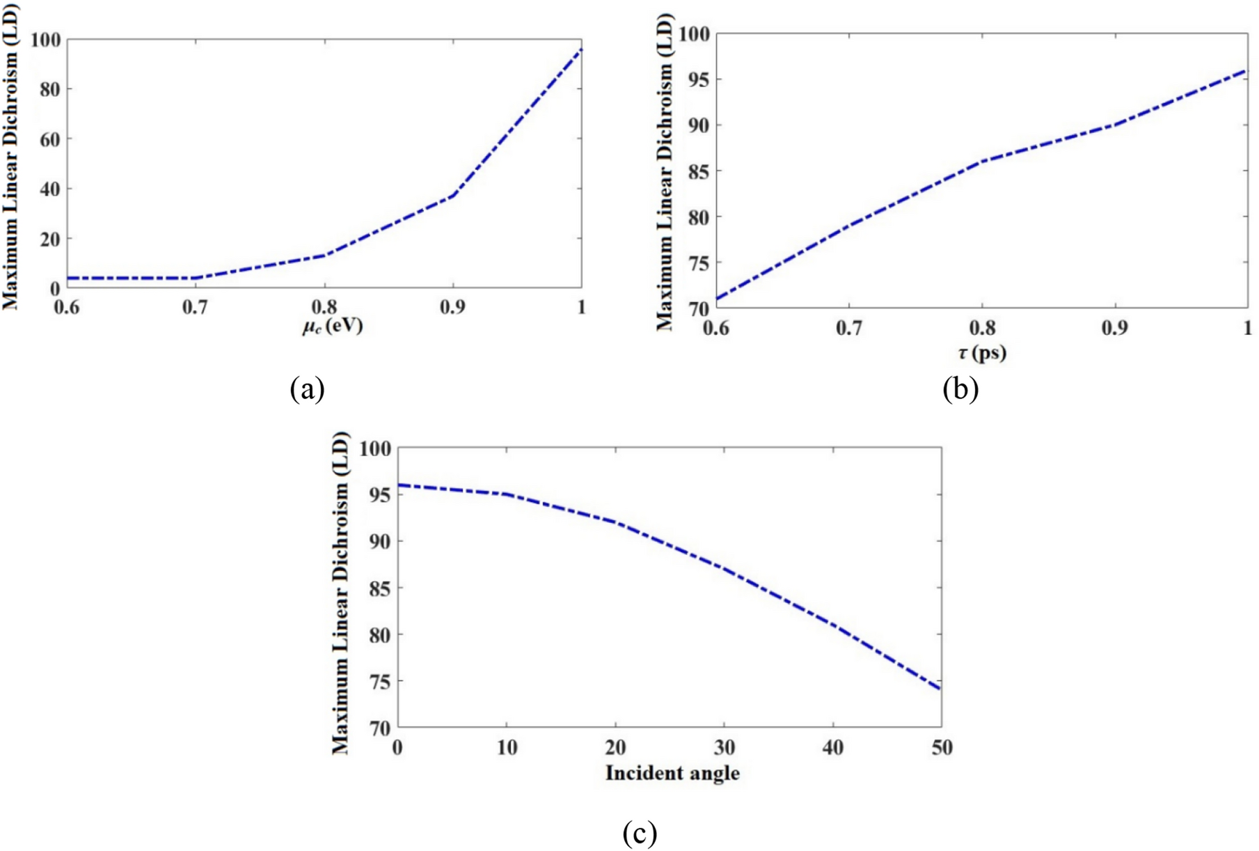
Figure 10

(a) Maximum LD vs μc spectrum of the metamirror, considering τ = 1 ps. The horizontal axis is the μc of the upper graphene and the μc of the bottom graphene in each step is 0.05 lower in value than it is for the upper graphene. (b) Maximum LD vs τ spectrum of the metamirror, considering μc = 1 eV for the upper graphene and 0.95 eV for the bottom graphene. (c) Maximum LD vs incident angle spectrum of the metamirror μc = 1 eV for the upper graphene and 0.95 eV for the lower graphene, and τ = 1 ps.