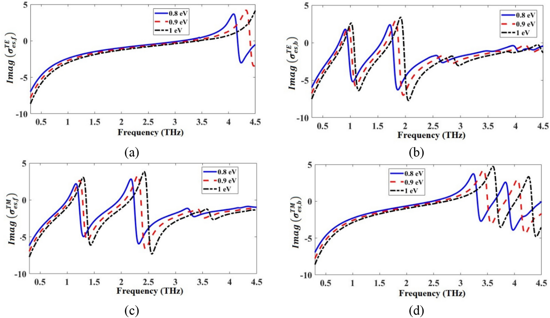
Figure 5

Imaginary parts of (a) \({\sigma }_{es, f}^{TE}\) (conductivity of the front graphene layer in the TE mode), (b) \({\sigma }_{es, b}^{TE}\) (conductivity of the back graphene layer in the TE mode), (c) \({\sigma }_{es, f}^{TM}\) (conductivity of the front graphene layer in TM mode), and (d) \({\sigma }_{es, b}^{TM}\) (conductivity of the back graphene layer in TM mode).