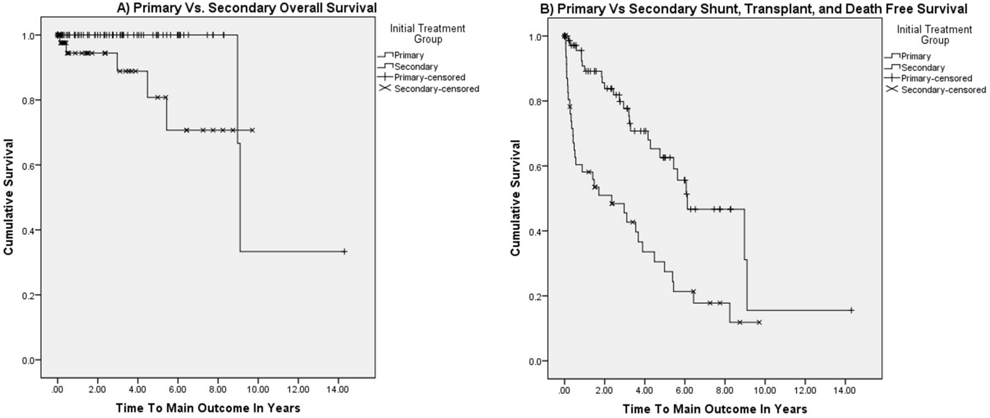
Figure 1

(A) Kaplan–Meier Overall Survival Curve for Primary and Secondary Endoscopic Prophylaxis (log-rank p = 0.023). (B) Kaplan–Meier Survival Curve without portosystemic shunt or liver transplant for Primary and Secondary Endoscopic Prophylaxis (log-rank p < 0.001).