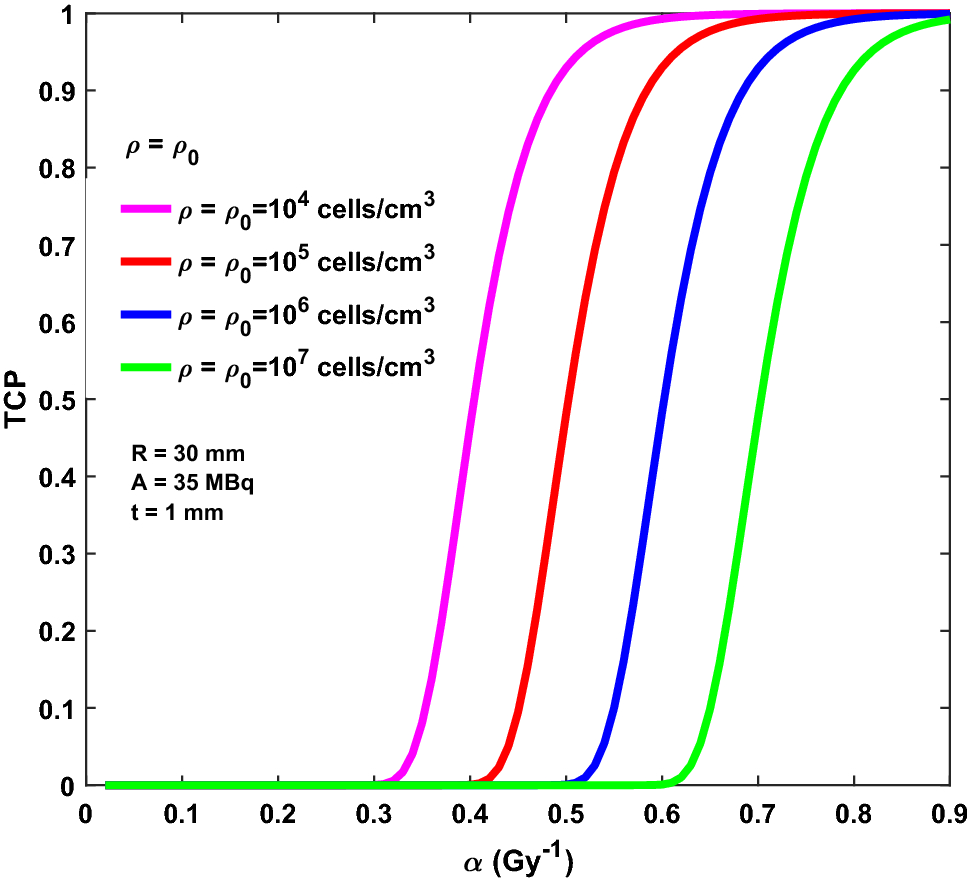
Figure 5

TCP as a function of the α values for R = 30 m, A = 35 MBq and BAT-90 layer t = 1.0 mm. Different constant residual clonogenic cells density are considered: 104 cells/cm3 (magenta line); 105 cells/cm3 (red line); 106 cells/cm3 (blue line); 107 cells/cm3 (green line).