Figure 2
From: Activity of vehicles in the bus rapid transit system Metrobús in Mexico City

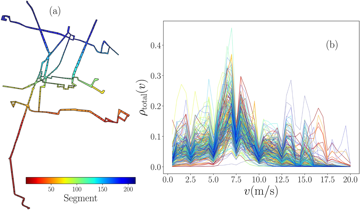
Activity of vehicles in segments of the system Metrobús in Mexico City. (a) Map with polygons associated to each of the \({\mathscr {N}}=214\) segments in the system. (b) Probability density \(\rho _{{\mathrm {total}}}(v)\) of the speed v of vehicles in each segment. The values \(\rho _{{\mathrm {total}}}(v)\) are obtained from bin counts in the interval \(0<v\le 20\,{{\mathrm{m}}/{\mathrm{s}}}\) with increments \(\Delta v=0.25\,{{\mathrm{m}}/{\mathrm{s}}}\). Segments are sorted considering their geographical coordinates with a number codified in the color bar that applies for polygons in (a) and the respective \(\rho _{{\mathrm {total}}}(v)\) in (b). All figures were created using python 3.8 and the matplotlib (3.4.3) package (https://matplotlib.org). The map in panel (a) was created using the geopandas (0.10.2) package (https://geopandas.org).