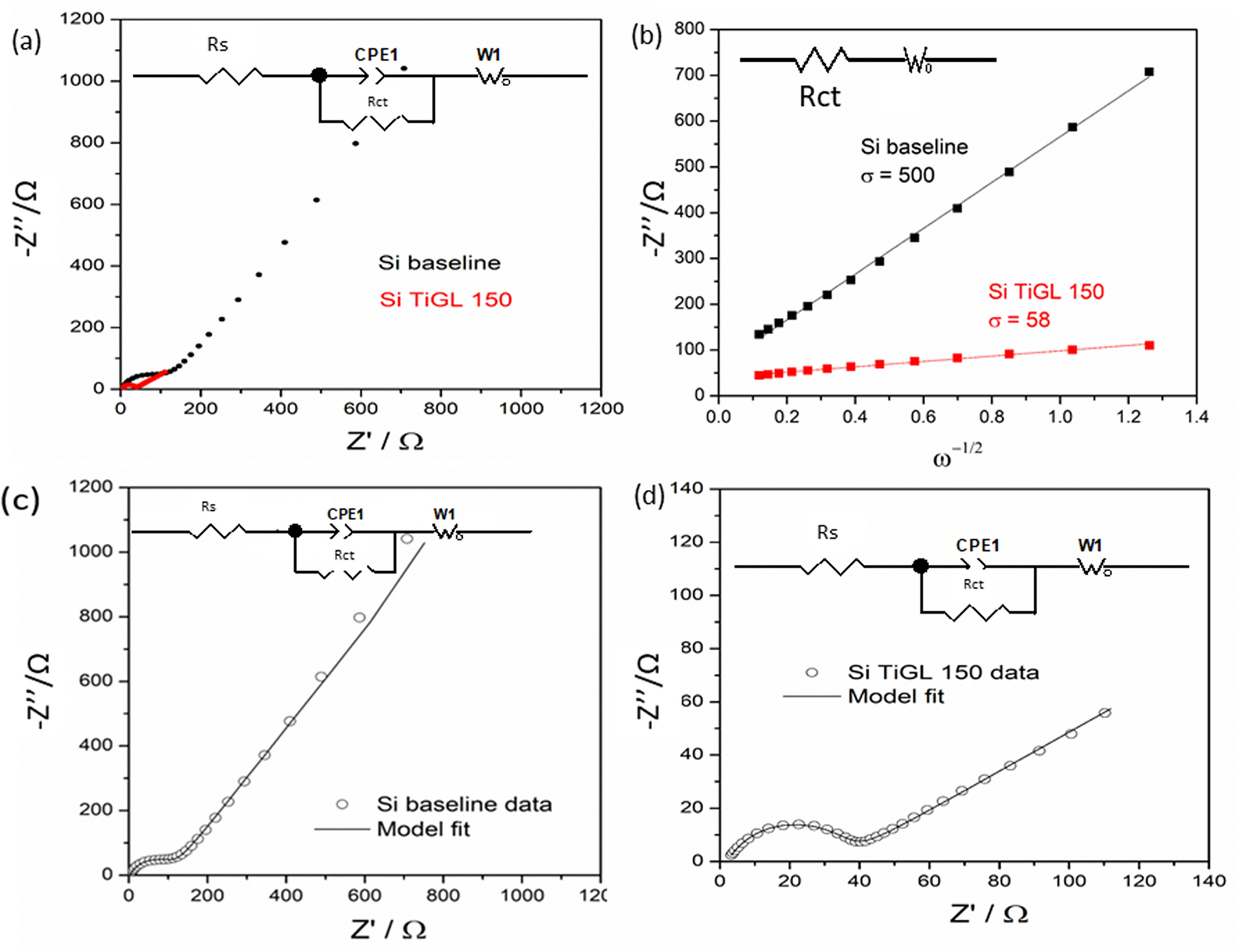
Figure 5
From: High performance silicon electrode enabled by titanicone coating

Impedance data presented in the form (a) Nyquist plots, (b) Z′ vs ω−0.5 plots and fitting results using Randles circuit inset, and Si baseline and Si TiGL 150 data fitting using the equivalent circuit inset in (c) and (d), after activation respectively.