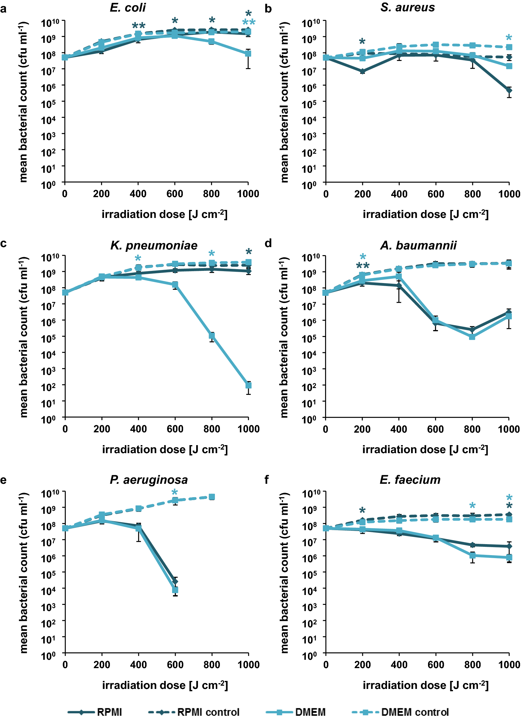
Figure 3

Survival of ESKAPE pathogens in the presence of RPMI and DMEM medium irradiated with 450 nm. (a) E. coli. (b) S. aureus (ATCC43300). (c) K. pneumoniae. (d) A. baumannii. (e) P. aeruginosa (ATCC27853). (f) E. faecium. The values are expressed as log survival in comparison to starting bacterial density of 5 × 107 cfu ml−1. The mean and standard deviation of three independent biological replicates with each three technical replicates are illustrated. Statistically significant differences between the irradiated samples and their respective controls are indicated with asterisks in the respective colors (*p < 0.05; **p < 0.01).