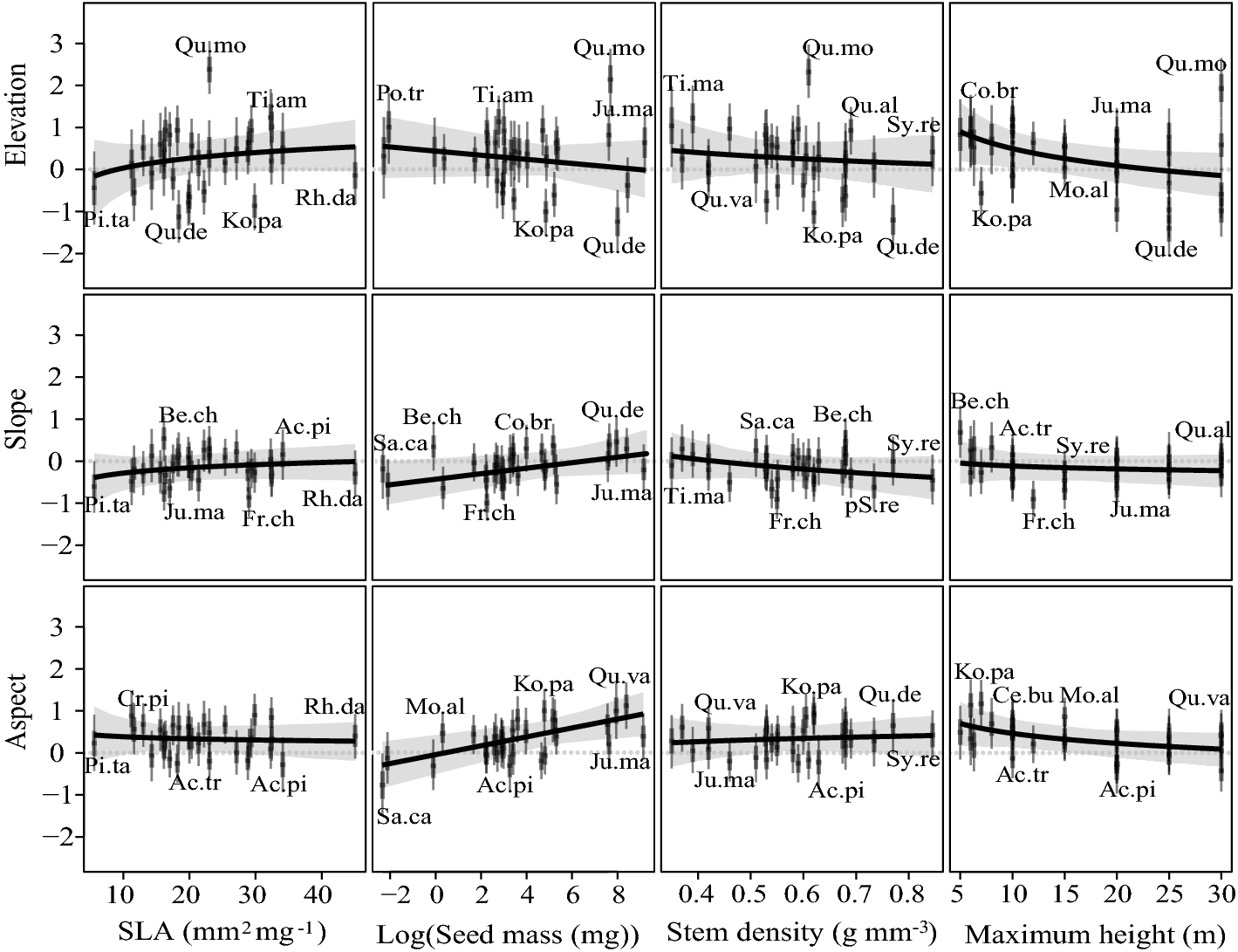
Figure 3

The relationships between environmental responses and species traits given other traits at their medians. The environmental responses were centred, so species with values above zero on the Y-axis had a positive response to the particular environmental variable. Black lines show the coefficient of trait–environment interaction terms in our model. Gray areas refer to the 95% confidence intervals of the estimate. Each boxplot shows the estimated environmental response associated with one particular species trait, given all the other environmental constraints and trait medians. Every boxplot has one square dot with two intervals, representing the mean and 50% and 95% credible intervals. Species names were shortened following Supplementary Table S1 online. For a better illustration, the values of seed mass were log transformed. “*” and “**”indicate that the coefficients of the associations were significant.